Interessante Mathe Aufgaben

Auf dieser Seite möchte ich ein paar Mathe Aufgaben mit interessanten Lösungswegen vorstellen die ich im Internet gefunden habe. Die Lösungswege stammen nicht von mir, ich habe sie nur nachvollzogen.

Inhaltsverzeichnis
Downloads

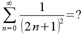
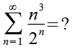
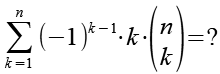
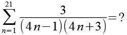
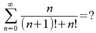
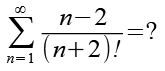
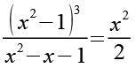
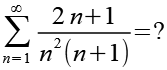
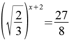
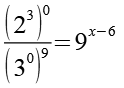
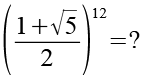
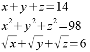
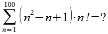
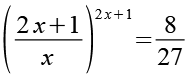
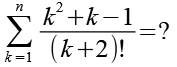
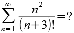
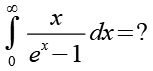
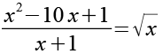
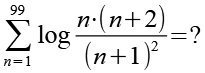
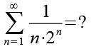
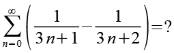
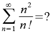
Zur Lösung bitte die Grafik anklicken.

                                                     

                                                           

                                               

                                               

                                                     

                                               

                                                     

                                               

                                         

                             

zurück zu den Tutorials

zurück zur Startseite falls links kein Hauptmenü (Frame) zu sehen ist

Impressum