[zurück]

Aufgabe 67

[vor]

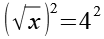
      (Gl. 1)

Beide Seiten werden quadriert.

      (Gl. 2)

Auf der linken Seite heben sich Wurzel und Quadrat auf.

      (Gl. 3)

Es gilt.

      (Gl. 4)

Mit Hilfe von Gl. 4 erhalten wir aus Gl. 3.

      (Gl. 5)

Es gilt.

      (Gl. 6)

Mit Hilfe von Gl. 6 erhalten wir aus Gl. 5.

      (Gl. 7)

Aufgrund der Symmetrie erhalten wir aus Gl. 7.

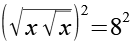
      (Gl. 8)

Beide Seiten werden quadriert.

      (Gl. 9)

Das Ergebnis.

      (Gl. 10)


Kontrolle

Zur Kontrolle setzen wir das Ergebnis in Gl. 1 ein.

      (Gl. 11)

      (Gl. 12)

      (Gl. 13)

      (Gl. 14)


[zurück] [Inhaltsverzeichnis] [vor]