[zurück]

Interessante Mathe Aufgaben

[vor]

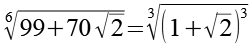
Bei dieser Aufgabe geht es nicht darum eine Gleichung zu lösen sondern den Ausdruck ohne Benutzung eines Taschenrechners zu vereinfachen.

      (Gl. 1)

Es gilt.

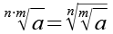
      (Gl. 2)

Gl. 2 wenden wir auf Gl. 1 an.

      (Gl. 3)

Um Gl. 3 weiter zu vereinfachen betrachten wir den Ausdruck unter der Quadratwurzel.

      (Gl. 4)

Könnte man Gl. 4 durch ein Quadrat ausdrücken dann würden sich Quadrat und Wurzel gegenseitig aufheben.

      (Gl. 5)

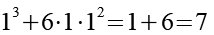
Es gilt (zur Herleitung siehe Anhang 1).

      (Gl. 6)

Wir möchten Gl. 4 durch ein "Quadrat" auszudrücken, dazu setzen wir Gl. 4 und die rechte Seite voin Gl. 6 gleich.

      (Gl. 7)

Aus Gl. 7 ergeben sich zwei Gleichungen zur Bestimmung von a und b.

      (Gl. 8)

      (Gl. 9)

      (Gl. 10)

Gl. 8 und Gl. 10 lösen wit durch Probieren, dabei nehmen wir an das a und b ganze Zahlen sind. Wir erhalten für a und b.

      (Gl. 11)

      (Gl. 12)

Zur Kontrolle setzen wir Gl. 11 und Gl. 12 in Gl. 8 und Gl. 9 ein.

      (Gl. 13)

      (Gl. 14)

Das Ergebnis ist korrekt, für Gl. 5 können wir daher schreiben.

      (Gl. 15)

Auf beiden Seiten ziehen wir die Wurzel.

      (Gl. 16)

      (Gl. 17)

Gl. 17 können wir jetzt in Gl. 3 einsetzen.

      (Gl. 18)

Jetzt betrachten wir wieder den Ausdruck unter der Wurzel.

      (Gl. 19)

Analog zu Gl. 5 versuchen wir Gl. 19 durch eine Potenz auszudrücken.

      (Gl. 20)

Es gilt (zur Herleitung siehe Anhang 2).

      (Gl. 21)

Aus Gl. 20 und Gl. 21 erhalten wir.

      (Gl. 22)

Aus Gl. 22 ergeben sich zwei Gleichungen zur Bestimmung von a und b.

      (Gl. 23)

      (Gl. 24)

Gl. 23 und Gl. 24 lösen wit durch Probieren, dabei nehmen wir an das a und b ganze Zahlen sind. Wir erhalten für a und b.

      (Gl. 25)

      (Gl. 26)

Zur Kontrolle setzen wir Gl. 25 und Gl. 26 in Gl. 23 und Gl. 24 ein.

      (Gl. 27)

      (Gl. 28)

Das Ergebnis ist korrekt, für Gl. 20 können wir daher schreiben.

      (Gl. 29)

Wir setzen Gl. 29 in Gl. 18 ein, Wurzel und Potenz heben sich auf der rechten Seite auf.

      (Gl. 30)

Als Ergebnis erhalten wir.

      (Gl. 31)

Anhang 1

      (Gl. 32)

      (Gl. 33)

      (Gl. 6)

Anhang 2

      (Gl. 34)

      (Gl. 35)

      (Gl. 36)

      (Gl. 37)

      (Gl. 38)

      (Gl. 21)


[zurück] [Inhaltsverzeichnis] [vor]