[zurück]

Interessante Mathe Aufgaben

[vor]

Bei dieser Aufgabe geht es nicht darum eine Gleichung zu lösen sondern den Ausdruck ohne Benutzung eines Taschenrechners zu vereinfachen.

      (Gl. 1)

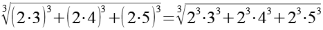
Wir ersetzten 6 durch 2*3, 8 durch 2*4 und 10 durch 2*5.

      (Gl. 2)

Es gilt.

      (Gl. 3)

Mit Hilfe von Gl. 3 erhalten wir.

      (Gl. 4)

Wir können 23 ausklammern.

      (Gl. 5)

Es gilt.

      (Gl. 6)

Mit Hilfe von Gl. 6 können wir die Wurzel in zwei Wurzeln trennen.

      (Gl. 7)

Es gilt.

      (Gl. 8)

Die Zahlen unter der Wurzel fassen wir zusammen und erhalten 216.

      (Gl. 9)

Von 216 machen wir eine Primfaktorzerlegung.

      (Gl. 10)

Für die Primfaktorzerlegung erhalten wir.

      (Gl. 11)

Gl. 11 setzen wir in Gl. 9 ein.

      (Gl. 12)

Das Ergebnis.

      (Gl. 13)


Anhang

Die Aufgabe läßt sich natürlich auch lösen ohne 23 auszuklammern.

      (Gl. 14)

Von 1728 machen wir eine Primfaktorzerlegung.

      (Gl. 15)

      (Gl. 16)

      (Gl. 17)

Das Ergebnis.

      (Gl. 13)


[zurück] [Inhaltsverzeichnis] [vor]