[zurück]

Aufgabe 61

[vor]

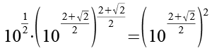
      (Gl. 1)

Beide Seiten werden logarithmiert.

      (Gl. 2)

Es gilt.

      (Gl. 3)

Mit Hilfe von Gl. 3 erhalten wir aus Gl. 2.

      (Gl. 4)

Es gilt.

      (Gl. 5)

Mit Hilfe von Gl. 5 erhalten wir aus Gl. 4.

      (Gl. 6)

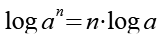
Es gilt.

      (Gl. 7)

Mit Hilfe von Gl. 7 erhalten wir aus Gl. 6.

      (Gl. 8)

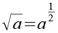
Es gilt.

      (Gl. 9)

Mit Hilfe von Gl. 9 erhalten wir aus Gl. 8.

      (Gl. 10)

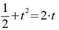
Wir substituieren Log x mit t.

      (Gl. 11)

Wir setzen Gl. 11 in Gl. 10 ein.

      (Gl. 12)

Wir subtrahieren auf beiden Seiten 2t.

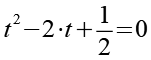
      (Gl. 13)

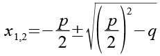
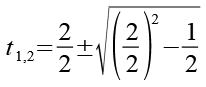
Für die Lösung der quadratischen Gleichung gilt.

      (Gl. 14)

      (Gl. 15)

      (Gl. 16)

      (Gl. 17)

      (Gl. 18)

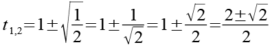
Wir erhalten die beeiden Lösungen t1 und t2.

      (Gl. 19)

      (Gl. 20)

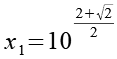
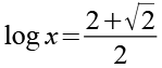
Jetzt müssen wir die Substitution rückgängig machen und setzen t1 in Gl. 11 ein.

      (Gl. 21)

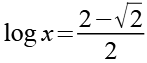
Es gilt.

      (Gl. 22)

Mit Hilfe von Gl. 22 erhalten wir aus Gl. 21 die erste Lösung.

      (Gl. 23)

Jetzt setzen wir t2 in Gl. 11 ein.

      (Gl. 24)

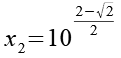
Mit Hilfe von Gl. 22 erhalten wir aus Gl. 24 die zweite Lösung.

      (Gl. 25)


Kontrolle

      (Gl. 1)

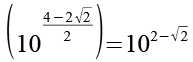
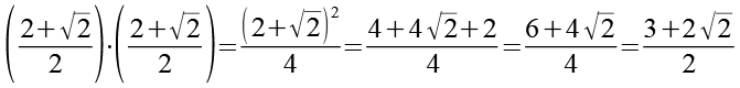
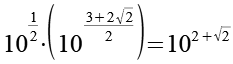
Zur Kontrolle setzen wir x1 und Gl. 21 in Gl. 1 ein.

      (Gl. 26)

Es gilt.

      (Gl. 27)

Wir multiplizieren die beiden Exponenten.

      (Gl. 28)

Wir setzen Gl. 28 in Gl. 26 ein.

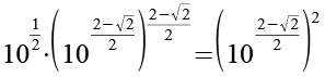
      (Gl. 29)

Es gilt.

      (Gl. 30)

Mit Hilfe von Gl. 30 erhalten wir aus Gl. 29.

      (Gl. 31)

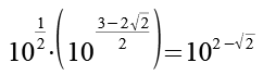
Wir können auf der linken Seite einmal 2 ausklammern und kürzen.

      (Gl. 32)

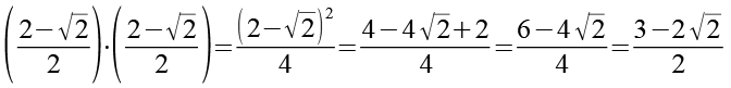
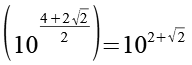
Jetzt setzen wir x2 und Gl. 24 in Gl. 1 ein.

      (Gl. 33)

Wir multiplizieren die beiden Exponenten.

      (Gl. 34)

Wir setzen Gl. 34 in Gl. 33 ein.

      (Gl. 35)

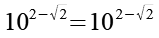
Mit Hilfe von Gl. 30 erhalten wir aus Gl. 35.

      (Gl. 36)

Wir können auf der linken Seite einmal 2 ausklammern und kürzen.

      (Gl. 37)


[zurück] [Inhaltsverzeichnis] [vor]