[zurück]

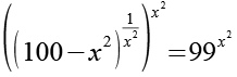
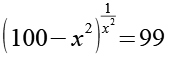
Aufgabe 73

[vor]

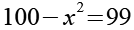
      (Gl. 1)

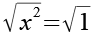
Es gilt.

      (Gl. 2)

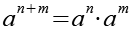
Mit Hilfe von Gl. 2 erhalten wir aus Gl. 1.

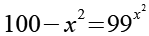
      (Gl. 3)

      (Gl. 4)

Es gilt.

      (Gl. 5)

Mit Hilfe von Gl. 5 erhalten wir aus Gl. 4.

      (Gl. 6)

Beide Seiten potenzieren wir mit x2.

      (Gl. 7)

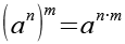
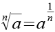
Es gilt.

      (Gl. 8)

Mit Hilfe von Gl. 8 erhalten wir aus Gl. 7.

      (Gl. 9)

100-x2 substituieren wir mit u.

      (Gl. 10)

Gl. 10 lösen wir nach x2 auf.

      (Gl. 11)

Gl. 0 und Gl. 11 setzen wir in Gl. 9 ein.

      (Gl. 12)

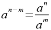
Es gilt.

      (Gl. 13)

Mit Hilfe von Gl. 13 erhalten wir aus Gl. 12.

      (Gl. 14)

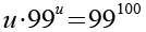
Beide Seiten multiplizieren wir mit 99u.

      (Gl. 15)

Die 100 im Exponent ersetzen wir durch 99+1.

      (Gl. 16)

Es gilt.

      (Gl. 17)

Mit Hilfe von Gl. 17 erhalten wir aus Gl. 16.

      (Gl. 18)

      (Gl. 19)

Auf beiden Seiten der Gleichung ist die Struktur (grün, rot) identisch.

      (Gl. 20)

Aus Gl. 20 können wir u ableiten.

      (Gl. 21)

Wir setzen Gl. 21 in Gl. 10 ein.

      (Gl. 22)

Wir lösen Gl. 22 nach x2 auf.

      (Gl. 23)

      (Gl. 24)

Auf beiden Seiten ziehen wir die Wurzel.

      (Gl. 25)

      (Gl. 26)

Die Lösungen.

      (Gl. 27)       (Gl. 28)


Kontrolle

Zur Kontrolle setzen wir die Lösungen Gl. 27 und Gl. 28 in Gl. 1 ein.

      (Gl. 1)
      (Gl. 27)       (Gl. 28)
      (Gl. 29)       (Gl. 33)
      (Gl. 30)       (Gl. 34)
      (Gl. 31)       (Gl. 35)
      (Gl. 32)       (Gl. 36)

Beide Lösungen sind korrekt.


[zurück] [Inhaltsverzeichnis] [vor]