| [zurück] | Interessante Mathe Aufgaben |
[vor] |
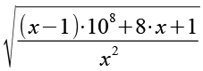
![]()
(Gl. 1)
Bei dieser Aufgabe geht es nicht darum eine Gleichung zu lösen sondern den Ausdruck ohne Benutzung eines Taschenrechners zu vereinfachen. Die 1111111088888888 schreiben wir etwas anders.
![]()
(Gl. 2)
Gl. 2 setzen wir in Gl. 1 ein.
![]()
(Gl. 3)
Die 108 klammern wir aus und die 88888888 ersetzen wir durch 8*11111111.
![]()
(Gl. 4)
Als nächstes betrachten wir den Nenner, für die Quadrate der Repunit Zahlen gilt.
![]()
(Gl. 5)
Die 123456787654321 ersetzen wir durch 111111112.
![]()
(Gl. 6)
Die 11111111 substituieren wir durch x.
![]()
(Gl. 7)
Gl. 7 setzen wir in Gl. 6 ein.
![]()
(Gl. 8)
Die Klammer multiplizieren wir aus.
![]()
(Gl. 9)
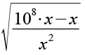
Den Zähler stellen wir etwas um und die 108 schreiben wir aus.
![]()
(Gl. 10)
Es gilt +1 - 100000000 = 99999999.
![]()
(Gl. 11)
Die 99999999 ersetzen wir durch 9*11111111.
![]()
(Gl. 12)
Die 11111111 substituieren wir durch x (siehe Gl. 7).
![]()
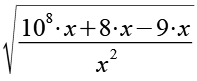
(Gl. 13)
![]()
(Gl. 14)
108 können wir im Zähler ausklammern.
![]()
(Gl. 15)
x können wir kürzen.
![]()
(Gl. 16)
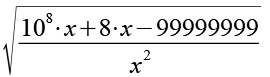
Die 108 schreiben wir aus.
![]()
(Gl. 17)
![]()
(Gl. 18)
Die 99999999 ersetzen wir durch 9*11111111.
![]()
(Gl. 19)
Die 11111111 substituieren wir durch x (siehe Gl. 7).
![]()
(Gl. 20)
x können wir kürzen.
![]()
(Gl. 21)
Für Gl. 1 erhalten wir.
![]()

| [zurück] | [Inhaltsverzeichnis] | [vor] |