[zurück]

Aufgabe 58

[vor]

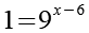
      (Gl. 1)

Es gilt.

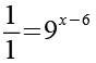
      (Gl. 2)

Mit Hilfe von Gl. 2 erhalten wir aus Gl. 1.

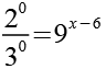
      (Gl. 3)

Es gilt.

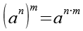
      (Gl. 4)

Mit Hilfe von Gl. 4 erhalten wir aus Gl. 3.

      (Gl. 5)

      (Gl. 6)

Nach Gl. 4 können wir die 1 durch 90 ersetzen.

      (Gl. 7)

Auf beiden Seiten haben die Potenzen die gleiche Basis (9), wir können daher die Exponenten gleichsetzen.

      (Gl. 8)

Das Ergebnis.

      (Gl. 9)

Zur Kontrolle setzen wir Gl. 9 in Gl. 1 ein.

      (Gl. 10)

      (Gl. 11)

      (Gl. 12)


[zurück] [Inhaltsverzeichnis] [vor]