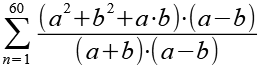
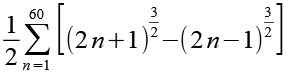
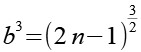
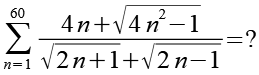
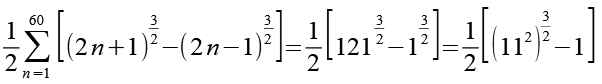
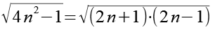
| [zurück] | Aufgabe 79 |
[vor] |
![]()
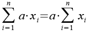
(Gl. 1)
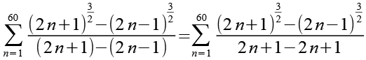
Zuerst betrachten wir die rechte Seite des Zählers und formulieren sie etwas um.
![]()
(Gl. 2)
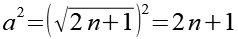
Es gilt.
![]()
(Gl. 3)
Mit Hilfe von Gl. 3 erhalten wir aus Gl. 2.
![]()
(Gl. 4)
Es gilt.
![]()
(Gl. 5)
Mit Hilfe von Gl. 5 erhalten wir aus Gl. 4.
![]()
(Gl. 6)
Gl. 6 setzen wir in Gl. 1 ein.
![]()
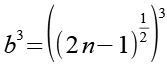
(Gl. 7)
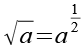
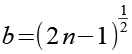
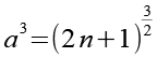
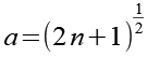
Wir substituieren die Wurzeln im Zähler durch a und b.
![]()
(Gl. 8)
![]()
(Gl. 9)
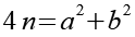
Die 4n aus dem Zähler formulieren wir etwas um.
![]()
(Gl. 10)
Wir addieren und subtrahieren 1 zu Gl. 10.
![]()
(Gl. 11)
Gl. 11 stellen wir etwas um.
![]()
(Gl. 12)
Wir quadrieren Gl. 8 und Gl. 9.
![]()
(Gl. 13)
![]()
(Gl. 14)
Gl. 13 und Gl. 14 setzen wir in Gl. 12 ein.
![]()
(Gl. 15)
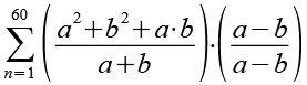
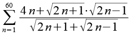
Gl. 15, Gl. 8 und Gl. 9 setzten wir in Gl. 7 ein.
![]()
(Gl. 16)
Zähler und Nenner multiplizieren wir mit (a-b).
![]()
(Gl. 17)
![]()
(Gl. 18)
Es gilt.
![]()
(Gl. 19)
![]()
(Gl. 20)
Mit Hilfe von Gl. 19 und Gl. 20 erhalten wir aus Gl. 18.
![]()
(Gl. 21)
Es gilt.
![]()
(Gl. 22)
Mit Hilfe von Gl. 22 erhalten wir aus Gl. 8 und Gl. 9.
![]()
(Gl. 23)
![]()
(Gl. 24)
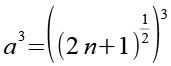
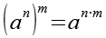
Gl. 23 und Gl. 24 potenzieren wir mit 3.
![]()
(Gl. 25)
![]()
(Gl. 26)
Es gilt.
![]()
(Gl. 27)
Mit Hilfe von Gl. 27 erhalten wir aus Gl. 25 und Gl. 26.
![]()
(Gl. 28)
![]()
(Gl. 29)
Gl. 28, Gl. 29, Gl. 13 und Gl. 14 setzen wir in Gl. 21 ein.
![]()
(Gl. 30)
Im Nenner fällt 2n weg.
![]()
(Gl. 31)
Es gilt.
![]()
(Gl. 32)
Mit Hilfe von Gl. 32 erhalten wir aus Gl. 31.
![]()
(Gl. 33)
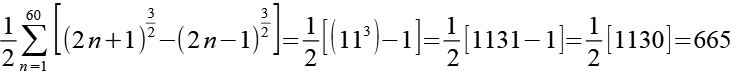
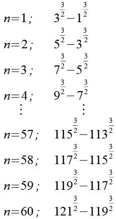
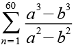
Wir berechnen die ersten und letzten Glieder der Reihe.
![]()
(Gl. 34)
![]()
(Gl. 35)
Jeweils 2 Glieder heben sich gegenseitig auf, es bleibt das zweite und das vorletzte Glied übrig. Für die Summenfunktion erhalten wir dann.
![]()
(Gl. 36)
![]()
(Gl. 37)
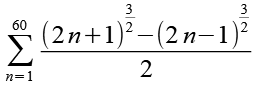
Das Ergebnis.
![]()
(Gl. 38)
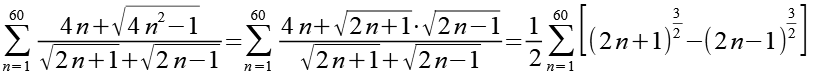
Die wichtigsten Schritte der Berechnung in einer Übersicht.
![]()
(Gl. 39)
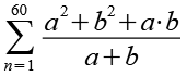
Anhang 1
Wir betrachten die Summe der einzelnen Glieder der Summenfunktion.
![]()
(Gl. 1)
| n | Summe |
|
1 2 3 4 5 6 7 8 9 10 11 12 13 14 15 16 17 18 19 20 21 22 23 24 25 26 27 28 29 30 31 32 33 34 35 36 37 38 39 40 41 42 43 44 45 46 47 48 49 50 51 52 53 54 55 56 57 58 59 60 |
2,098076211 5,090169944 8,760129589 13,000000000 17,741436347 22,936083291 28,547375097 34,546397818 40,909539964 47,617044797 54,652062518 62,000000000 69,648057707 77,584889704 85,800347624 94,285283668 103,031396204 112,031106811 121,277460969 130,764046867 140,484928272 150,434588481 160,607883109 171,000000000 181,606424928 192,422912066 203,445458395 214,670281405 226,093799562 237,712615115 249,523498896 261,523376820 273,709317858 286,078523271 298,628316948 311,356136704 324,259526419 337,336128915 350,583679484 364,000000000 377,582993534 391,330639435 405,240988809 419,312160377 433,542336645 447,929760386 462,472731378 477,169603387 492,018781368 507,018718867 522,167915602 537,464915213 552,908303154 568,496704736 584,228783283 600,103238420 616,118804449 632,274248844 648,568370821 665,000000000 |
Für einige n ist das Ergebnis eine ganze Zahl.
| n | Summe |
|
4 12 24 40 60 |
13 62 171 364 665 |
Anhang 2
Die ersten 4 Glieder ergeben mit 13 eine ganze Zahl, das läßt sich "leicht" überprüfen.
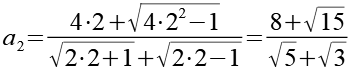
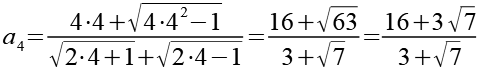
Zuerst berechnen wir die ersten 4 Glieder a1, a2, a3 und a4.
![]()

![]()

![]()

![]()

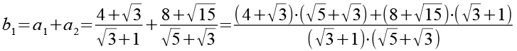
Wir addieren a1 und a2.
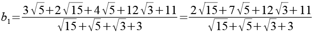
![]()

![]()

![]()

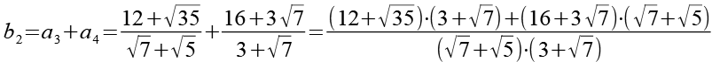
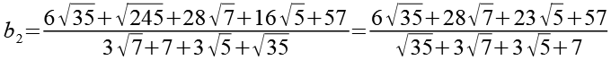
Wir addieren a3 und a4.
![]()

![]()

![]()

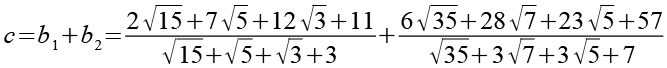
Wir addieren b1 und b2.
![]()

![]()

Zur besseren Übersichtlichkeit teilen wir die Berechnung in Teilschritte auf
![]()

mit
![]()
![]()
![]()
![]()

f·g
![]()

![]()

d·g
![]()

![]()

e·f
![]()

![]()

d·g + e·f
![]()

Die 13 kann man ausklammern.
![]()

Die Wurzelausdrücke lassen sich kürzen.
![]()

| [zurück] | [Inhaltsverzeichnis] | [vor] |