[zurück]

Interessante Mathe Aufgaben

[vor]

      (Gl. 1)

Beide Seiten multiplizieren wir mit 6!./P>

      (Gl. 2)

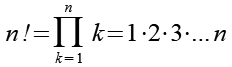
Für die Fakultät gilt:

      (Gl. 3)

Mit Hilfe von Gl. 3 erhalten wir für 7!.

      (Gl. 4)

Mit Hilfe von Gl. 3 erhalten wir für 6!.

      (Gl. 5)

2 * 4 ersetzen wir durch 8.

      (Gl. 6)

Die 6 ersetzen wir durch 2 * 3.

      (Gl. 7)

Die 3 * 3 ersetzen wir durch 9.

      (Gl. 8)

Die 1 * 2 * 5 ersetzen wir durch 10 und erhalten für 6!.

      (Gl. 9)

Gl. 4 und Gl. 9 setzten wir in Gl. 2 ein.

      (Gl. 10)

Als Lösung erhalten wir 10!.

      (Gl. 11)


[zurück] [Inhaltsverzeichnis] [vor]