[zurück]

Aufgabe 71

[vor]

      (Gl. 1)

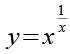
Wir substituieren x1/x durch y.

      (Gl. 2)

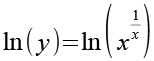
Auf beide Seiten von Gl. 2 wenden wir den natürlichen Logarithmus an.

      (Gl. 3)

Es gilt.

      (Gl. 4)

Mit Hilfe von Gl. 4 erhalten wir aus Gl. 3.

      (Gl. 5)

      (Gl. 6)

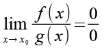
Von Gl. 6 bilden wir den Grenzwert.

      (Gl. 7)

Wenn der Grenzwert nicht definiert ist, z.B.

      (Gl. 8)           oder       (Gl. 9)

wenden wir die Regel von de L’Hospital an und benutzen die erste Ableitung der Funktionen.

      (Gl. 10)

Für f(x) und seine Ableitung erhalten wir.

      (Gl. 11)       (Gl. 12)

Für g(x) und seine Ableitung erhalten wir.

      (Gl. 13)       (Gl. 14)

Mit Hilfe von Gl. 12, Gl. 14 und Gl. 10 erhalten wir aus Gl. 7.

      (Gl. 15)

      (Gl. 16)

Es gilt.

      (Gl. 17)

Mit Hilfe von Gl. 17 erhalten wir aus Gl. 16.

      (Gl. 18)

Grenzwert und Logarithmus können wir vertauschen.

      (Gl. 19)

Es gilt.

      (Gl. 20)

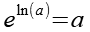
Auf beide Seiten von Gl. 19 wenden wir die e Funktion an, siehe auch Gl. 20.

      (Gl. 21)

Es gilt.

      (Gl. 22)

Mit Hilfe von Gl. 22 erhalten wir aus Gl. 21.

      (Gl. 23)

Im letzten Schritt machen wir die Substitution rückgängig und setzten Gl. 2 in Gl. 23 ein und erhalten das Ergebnis.

      (Gl. 24)


Anhang

      (Gl. 1)

x x1/x
1   
10   
100   
1000   
10000   
100000   
1000000   
10000000   
100000000   
1000000000   
10000000000   
100000000000   
1000000000000   
    1,00000000000
    1,25892541179
    1,04712854805
    1,00693166885
    1,00092145832
    1,00011513588
    1,00001381561
    1,00000161181
    1,00000018421
    1,00000002072
    1,00000000230
    1,00000000025
    1,00000000003
    1,00000000000


[zurück] [Inhaltsverzeichnis] [vor]