| [zurück] | Interessante Mathe Aufgaben |
[vor] |
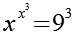
![]()
(Gl. 1)
Die 729 ersetzen wir durch 33.
![]()
(Gl. 2)
Beide Seiten potenzieren wir mit 3.
![]()
(Gl. 3)
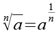
Es gilt:
![]()
(Gl. 4)
Mit Hilfe von Gl. 4 erhalten wir.
![]()
(Gl. 5)
Da beide Seiten die gleiche Struktur (aa = bb) haben gilt.
![]()
(Gl. 6)
Für x erhalten wir.
![]()
(Gl. 7)
Zur Kontrolle setzen wir die Lösung in Gl. 1 ein.
Es gilt:
![]()
(Gl. 8)
Mit Hilfe von Gl. 8 erhalten wir aus Gl. 7.
![]()
(Gl. 9)
Zur besseren Übersichtlichkeit benutzen wir Klammern.
![]()
(Gl. 10)
Es gilt:
![]()
(Gl. 11)
Gl. 9 setzen wir in Gl. 10 ein, mit Hilfe von Gl. 11 erhalten wir.
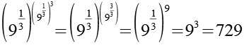
![]()

Als Ergebnis erhalten wir 729.
| [zurück] | [Inhaltsverzeichnis] | [vor] |