[zurück]

Aufgabe 42

[vor]

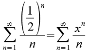
Bei dieser Aufgabe geht es nicht darum eine Gleichung zu lösen sondern den Ausdruck ohne Benutzung eines Taschenrechners zu vereinfachen.

      (Gl. 1)

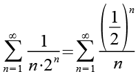
Es gilt.

      (Gl. 2)

Mit Hilfe von Gl. 2 erhalten wir aus Gl. 1.

      (Gl. 3)

Die 1/2 substituieren wir durch x.

      (Gl. 4)

Gl. 4 setzen wir in Gl. 3 ein.

      (Gl. 5)

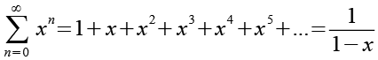
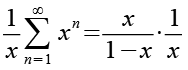
Wir betrachten die Reihenentwicklung der Potenzfunktion, für |x|<1 gilt.

      (Gl. 6)

Der Startwert dieser Summenfunktion in n=0, bei unserer Ausfgabe (Gl. 1) ist der Startwert n=1. Das müssen wir anpassen, das erste Glied der Folge in Gl. 6 ist die 1. Wenn wir die Summenfunktion mit n=1 anfangen müssen wir die 1 (für n=0) auf die rechte Seite bringen, wir erhalten Gl. 7. bzw. Gl. 8.

      (Gl. 7)

      (Gl. 8)

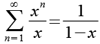
Jetzt teilen wir beide Seiten durch x.

      (Gl. 9)

Auf der rechten Seite können wir x kürzen, die linke Seite formen wir etwas um.

      (Gl. 10)

      (Gl. 11)

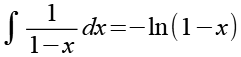
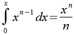
Jetzt integrieren wir beide Seiten von Gl. 11 mit den Integrationsgrenzen 0 und x.

      (Gl. 12)

Wir tauschen die Reihenfolge von Summenfunktiuon und Integral.

      (Gl. 13)

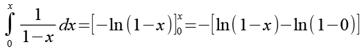
Für das linke Integral gilt.

      (Gl. 14)

Jetzt setzen wir die Integrationsgrenzen ein.

      (Gl. 15)

Für das linke Integral von Gl. 13 erhalten wir.

      (Gl. 16)

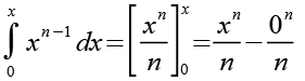
Für das rechte Integral von Gl. 13 gilt.

      (Gl. 17)

Jetzt setzen wir die Integrationsgrenzen ein.

      (Gl. 18)

Es gilt.

      (Gl. 19)

Mit Hilfe von Gl. 19 und Gl. 18 erhalten wir für das rechte Integral von Gl. 13.

      (Gl. 20)

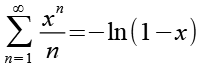
Jetzt setzen wir Gl. 16 und Gl. 20 in Gl. 13 ein.

      (Gl. 21)

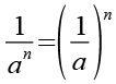
Jetzt müssen wir die Substitution rückgängig machen.

      (Gl. 22)

Wir setzten Gl. 22 in Gl. 21 ein.

      (Gl. 23)

      (Gl. 24)

Es gilt.

      (Gl. 25)

Mit Hilfe von Gl. 25 erhalten wir das Ergebnis.

      (Gl. 26)


Anhang

Untersuchen wir die Konvergenz der Reihe.

n
1   
2   
3   
4   
5   
6   
7   
8   
9   
10   
11   
12   
13   
14   
15   
16   
17   
18   
19   
20   
21   
22   
23   
24   
25   
26   
27   
28   
29   
30   
31   
32   
33   
34   
35   
36   
37   
38   
39   
40   
    0,50000000000
    0,62500000000
    0,66666666666
    0,68229166666
    0,68854166666
    0,69114583333
    0,69226190476
    0,69275018601
    0,69296719990
    0,69306485615
    0,69310924535
    0,69312959040
    0,69313898043
    0,69314334008
    0,69314537459
    0,69314632826
    0,69314677705
    0,69314698898
    0,69314708936
    0,69314713705
    0,69314715975
    0,69314717059
    0,69314717577
    0,69314717826
    0,69314717945
    0,69314718002
    0,69314718030
    0,69314718043
    0,69314718050
    0,69314718053
    0,69314718054
    0,69314718055
    0,69314718055
    0,69314718055
    0,69314718055
    0,69314718056
    0,69314718056
    0,69314718056
    0,69314718056
    0,69314718056


[zurück] [Inhaltsverzeichnis] [vor]