[zurück]

Aufgabe 47

[vor]

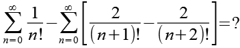
      (Gl. 1)

Für die Fakultät gilt.

      (Gl. 2)

Gl. 2 setzen wir in Gl. 1 ein.

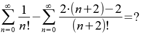
      (Gl. 3)

Im Nenner können wir n! ausklammern.

      (Gl. 4)

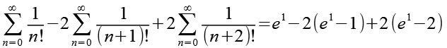
Wir addieren 1+1.

      (Gl. 5)

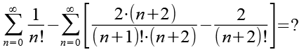
Den Zähler ergänzen wir mit +2-2.

      (Gl. 6)

Es gilt.

      (Gl. 36)

Mit Hilfe von Gl. 36 erhalten wir aus Gl. 6.

      (Gl. 7)

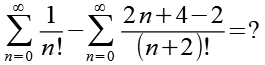
Im ersten Bruch können wir (n+2) kürzen.

      (Gl. 8)

Es gilt.

      (Gl. 37)

Mit Hilfe von Gl. 37 erhalten wir aus Gl. 6.

      (Gl. 9)

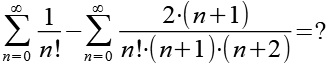
Beim zweiten Bruch multiplizieren wir Zähler und Nenner mit (n+1).

      (Gl. 10)

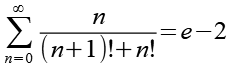
Für die Fakultät gilt.

      (Gl. 11)

Wir setzen Gl. 11 in Gl. 10 ein und multiplizieren die Klammer im Zähler aus.

      (Gl. 12)

Die +2 ersetzen wir durch +4-2.

      (Gl. 13)

Wir klammern einmal die 2 aus.

      (Gl. 14)

Den Bruch der zweiten Summenfunktion trennen wir in zwei Brüche.

      (Gl. 15)

Für die Fakultät gilt.

      (Gl. 16)

Wir setzen Gl. 16 in Gl. 15 ein.

      (Gl. 17)

Wir können einmal (n+2) kürzen.

      (Gl. 18)

Die Summenfunktion erweitern wir für jeden Bruch.

      (Gl. 19)

Es gilt.

      (Gl. 38)

Mit Hilfe von Gl. 38 erhalten wir aus Gl.19.

      (Gl. 20)

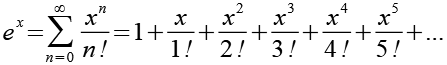
Für die Exponentialfunktion gilt.

      (Gl. 21)       (Gl. 22)

Wir setzen x=1 in Gl. 21 ein.

      (Gl. 23)

Betrachten wir jede Summenfunktion aus Gl. 20 separat und berechnen die ersten Glieder der Folge. Für die erste Summenfunktion erhalten wir.

      (Gl. 24)

Für die zweite Summenfunktion erhalten wir.

      (Gl. 25)

Für die dritte Summenfunktion erhalten wir.

      (Gl. 26)

Gl. 24, Gl. 25 und Gl. 26 setzen wir in Gl. 20 ein.

      (Gl. 27)

Wir multiplizieren die Klammern auf der rechten Seite aus.

      (Gl. 28)

      (Gl. 29)

Das Ergebnis.

      (Gl. 30)

Anhang 1

Untersuchen wir die Konvergenz der Folge. Berechnen wir zuerst die ersten Glieder der Folge.

      (Gl. 31)

      (Gl. 32)

      (Gl. 33)

      (Gl. 34)

      (Gl. 35)

n
0   
1   
2   
3   
4   
5   
6   
7   
8   
9   
10   
11   
12   
13   
14   
15   
    0,000000000000
    0,333333333333
    0,583333333333
    0,683333333333
    0,711111111111
    0,717063492063
    0,718105158730
    0,718259479718
    0,718279320988
    0,718281575677
    0,718281805322
    0,718281826520
    0,718281828309
    0,718281828448
    0,718281828458
    0,718281828459


[zurück] [Inhaltsverzeichnis] [vor]