[zurück]

Aufgabe 80

[vor]

      (Gl. 1)

Die Aufgabe ist natürlich trivial, sie sollte komplett im Kopf gelöst werden. Zuerst stellen wir die Exponenten etwas um.

      (Gl. 2)

Es gilt.

      (Gl. 3)

Mit Hilfe von Gl. 3 erhalten wir aus Gl. 2.

      (Gl. 4)

Wir können einmal 84 und einmal 82 ausklammern.

      (Gl. 5)

      (Gl. 6)

Wir können einmal 9 ausklammern.

      (Gl. 7)

Die 4 im Exponent ersetzten wir durch 2+2.

      (Gl. 8)

Mit Hilfe von Gl. 3 erhalten wir aus Gl. 8.

      (Gl. 9)

Wir können einmal 82 ausklammern.

      (Gl. 10)

82=64

      (Gl. 11)

64+1=65

      (Gl. 12)

Um die Multiplikation "im Kopf" zu vereinfachen ersetzen wir die 64 durch (60+4) und die 65 durch (60+5).

      (Gl. 13)

Die Klammern multiplizieren wir aus.

      (Gl. 14)

Die 5 Zahlen lassen sich "im Kopf" leicht addieren.

      (Gl. 15)

      (Gl. 16)

Die Multiplikation mit 9 ist der letzte Schritt.

      (Gl. 17)

Das Ergebnis.

      (Gl. 18)

      (Gl. 19)


Anhang

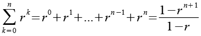
Die Aufgabe läßt sich auch als geometrische Reihe lösen.

Es gilt.

      (Gl. 20)

      (Gl. 21)

      (Gl. 22)


[zurück] [Inhaltsverzeichnis] [vor]