[zurück]

Aufgabe 68

[vor]

      (Gl. 1)

Auf beiden Seiten subtrahieren wir Wurzel(-x).

      (Gl. 2)

Beide Seiten werden quadriert.

      (Gl. 3)

Auf der linken Seite heben sich Wurzel und Quadrat auf.

      (Gl. 4)

Es gilt.

      (Gl. 5)

Mit Hilfe von Gl. 5 erhalten wir aus Gl. 4.

      (Gl. 6)

Auf der rechten Seite heben sich Wurzel und Quadrat auf.

      (Gl. 7)

Auf beiden Seiten addieren wir x.

      (Gl. 8)

Auf der rechten Seite können wir 2 ausklammern.

      (Gl. 9)

Beide Seiten teilen wir durch 2.

      (Gl. 10)

Auf beiden Seiten subtrahieren wir 72.

      (Gl. 11)

Beide Seiten werden quadriert.

      (Gl. 12)

Mit Hilfe von Gl. 5 erhalten wir aus Gl. 12.

      (Gl. 13)

Auf der rechten Seite heben sich Wurzel und Quadrat auf.

      (Gl. 14)

Auf beiden Seiten addieren wir 144x.

      (Gl. 15)

      (Gl. 16)

Auf beiden Seiten subtrahieren wir 72.

      (Gl. 17)

Auf beiden Seiten ziehen wir die Wurzel.

      (Gl. 18)

      (Gl. 19)

Es gilt.

      (Gl. 20)

Mit Hilfe von Gl. 20 erhalten wir aus Gl. 19.

      (Gl. 21)

Es gilt.

      (Gl. 22)

Mit Hilfe von Gl. 22 erhalten wir aus Gl. 21.

      (Gl. 23)

Die beiden Lösungen für Gl. 1.

      (Gl. 24)       (Gl. 25)


Kontrolle 1

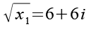
Zur Kontrolle setzen wir das Ergebnis x1 in Gl. 1 ein.

      (Gl. 26)

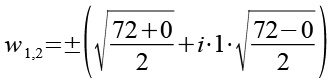
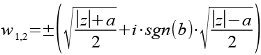
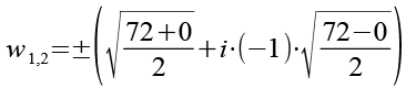
Für die Wurzel einer komplexen Zahl z gilt.

      (Gl. 27)

      (Gl. 28)

      (Gl. 29)

      (Gl. 30)

Die komplexe Zahl ist in diesem Fall.

      (Gl. 31)

Der Betrag der komplexen Zahl.

      (Gl. 32)

      (Gl. 33)

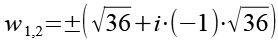
Wir setzen Gl. 31 und Gl. 33 in Gl. 29 ein.

      (Gl. 34)

      (Gl. 35)

      (Gl. 36)

Bei der zweiten komplexen Zahl gehen wir genauso vor.

      (Gl. 37)

Der Betrag ist identisch.

      (Gl. 38)

Wir setzen Gl. 37 und Gl. 38 in Gl. 29 ein.

      (Gl. 39)

      (Gl. 40)

      (Gl. 41)

Für die beiden Wurzeln erhalten wir.

      (Gl. 42)       (Gl. 43)

Gl. 42 und Gl. 43 setzen wir in Gl. 1 ein.

      (Gl. 44)

      (Gl. 45)

Damit ist die Richtigkeit bewiesen.

      (Gl. 46)


Kontrolle 2

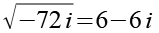
Ein alternativer und einfacherer Weg dasd Ergebnis zu überprüfen. Wir setzen x1 in Gl. 1 ein.

      (Gl. 26)

Beide Seiten werden quadriert.

      (Gl. 47)

Es gilt.

      (Gl. 48)

Mit Hilfe von Gl. 48 erhalten wir aus Gl. 47.

      (Gl. 49)

Wurzel und Quadrat heben sich auf.

      (Gl. 50)

Auf der linken Seite fällt 72i-72i weg.

      (Gl. 51)

Es gilt.

      (Gl. 52)

Mit Hilfe von Gl. 52 erhalten wir aus Gl. 51.

      (Gl. 53)

Es gilt.

      (Gl. 54)

Mit Hilfe von Gl. 54 erhalten wir aus Gl. 53.

      (Gl. 55)

      (Gl. 56)

      (Gl. 57)


Anhang

Zum Schluss ein paar Zahlen die ich in diesem Zusammenhang mit Python berechnet habe.

      (Gl. 58)

      (Gl. 59)

      (Gl. 60)

      (Gl. 61)

      (Gl. 62)

      (Gl. 63)

      (Gl. 64)

      (Gl. 65)

      (Gl. 66)


[zurück] [Inhaltsverzeichnis] [vor]