[zurück]

Aufgabe 59

[vor]

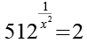
      (Gl. 1)

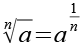
Es gilt.

      (Gl. 2)

Mit Hilfe von Gl. 2 erhalten wir aus Gl. 1.

      (Gl. 3)

Mit Hilfe von Gl. 2 erhalten wir aus Gl. 3.

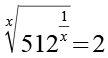
      (Gl. 4)

Es gilt.

      (Gl. 5)

Mit Hilfe von Gl. 5 erhalten wir aus Gl. 4.

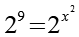
      (Gl. 6)

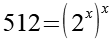
Die 512 ersetzen wir durch 29.

      (Gl. 7)

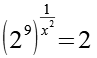
Mit Hilfe von Gl. 5 erhalten wir aus Gl. 7.

      (Gl. 8)

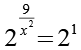
Beide Seiten haben die gleiche Basis (2), wir können daher die Exponenten gleichsetzen.

      (Gl. 9)

Beide Seiten multiplizieren wir mit x2.

      (Gl. 10)

Wir ziehen die Wurzel.

      (Gl. 11)

Das Ergebnis.

      (Gl. 12)


Anhang

Alternativer Lösungsweg.

      (Gl. 1)

Beide Seiten potenzieren wir mit x.

      (Gl. 13)

Auf der linken Seite heben sich Potenz und Wurzel auf.

      (Gl. 14)

Beide Seiten potenzieren wir erneut mit x.

      (Gl. 15)

Auf der linken Seite heben sich Potenz und Wurzel auf.

      (Gl. 16)

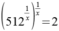
Wir wenden Gl. 5 an und ersetzen die 512 durch 29.

      (Gl. 17)

Beide Seiten haben die gleiche Basis (2), wir können daher die Exponenten gleichsetzen.

      (Gl. 18)

Das Ergebnis.

      (Gl. 12)


[zurück] [Inhaltsverzeichnis] [vor]