[zurück]

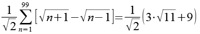
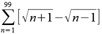
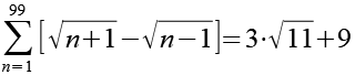
Aufgabe 63

[vor]

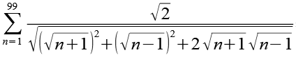
      (Gl. 1)

Die 1 ersetzen wir durch 12.

      (Gl. 2)

Es gilt.

      (Gl. 3)

Mit Hilfe von Gl. 3 erhalten wir aus Gl. 2.

      (Gl. 4)

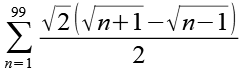
Zähler und Nenner multiplizieren wir mit Wurzel 2.

      (Gl. 5)

Es gilt.

      (Gl. 6)

Mit Hilfe von Gl. 6 erhalten wir aus Gl. 5.

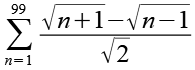
      (Gl. 7)

Es gilt.

      (Gl. 8)

Mit Hilfe von Gl. 8 erhalten wir aus Gl. 7.

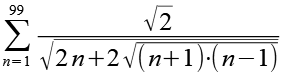
      (Gl. 9)

Die "2n" ersetzen wir durch ein komplizierteres Konstrukt mit der wir die Wurzel im Nenner vereinfachen können.

      (Gl. 10)

Gl. 10 setzen wir in Gl. 9 ein.

      (Gl. 11)

Es gilt.

      (Gl. 12)

Mit Hilfe von Gl. 12 erhalten wir aus Gl. 11.

      (Gl. 13)

Wurzel und Quadrat heben sich auf.

      (Gl. 14)

Wir multiplizieren Zähler und Nenner mit einem Faktor um den Nenner zu vereinfachen.

      (Gl. 15)

Es gilt.

      (Gl. 16)

Mit Hilfe von Gl. 16 erhalten wir aus Gl. 15.

      (Gl. 17)

Wurzel und Quadrat im Nenner heben sich auf.

      (Gl. 18)

      (Gl. 19)

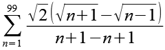
Wir fassen den Nenner zusammen.

      (Gl. 20)

Die 2 im Nenner erzetzen wir durch ein Quadrat der Wurzel.

      (Gl. 21)

Jetzt können wir einmal Wurzel 2 kürzen.

      (Gl. 22)

Es gilt.

      (Gl. 23)

Mit Hilfe von Gl. 23 erhalten wir aus Gl. 22.

      (Gl. 24)

Betrachten wir nur die Summenfunktion.

      (Gl. 25)

Wir berechnen die ersten und letzten Glieder der Summenfunktion.

      (Gl. 26)

Bis auf 4 Glieder heben sich die Glieder wegen unterschiedlicher Vorzeichen gegenseitig auf.

      (Gl. 27)

Für Gl. 25 erhalten wir so.

      (Gl. 28)

      (Gl. 29)

Für Gl. 24 erhalten wir dann.

      (Gl. 30)

      (Gl. 31)

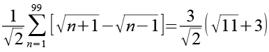
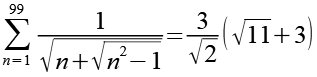
Das Ergebnis.

      (Gl. 32)


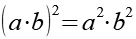
Anhang 1

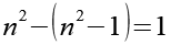
Wir können Gl. 1 und Gl. 22 gleichsetzen, die Summenfunktion lassen wir weg. Wir erhalten eine "hübsche" Gleichung deren Richtigkeit leicht zu beweisen ist (auch wenn es eigentlich überflüssig ist).

      (Gl. 33)

Wir multiplizieren die Brüche über Kreuz.

      (Gl. 34)

Beide Seiten werden quadriert.

      (Gl. 35)

Es gilt.

      (Gl. 36)

Mit Hilfe von Gl. 36 erhalten wir aus Gl. 35, Wurzel und Quadrat heben sich gegenseitig auf.

      (Gl. 37)

Es gilt.

      (Gl. 38)

Wir wenden Gl. 38 auf den linken Teil von Gl. 37 an.

      (Gl. 39)

+1 und -1 heben sich auf.

      (Gl. 40)

Wir können einmal 2 ausklammern.

      (Gl. 41)

Es gilt.

      (Gl. 42)

Mit Hilfe von Gl. 42 erhalten wir aus Gl. 41.

      (Gl. 43)

Wir setzen Gl. 43 in Gl. 37 ein.

      (Gl. 44)

Beide Seiten teilen wir durch 2.

      (Gl. 45)

Es gilt.

      (Gl. 46)

Mit Hilfe von Gl. 46 erhalten wir aus Gl. 45.

      (Gl. 47)

      (Gl. 48)

      (Gl. 49)


Anhang 2

      (Gl. 1)

Wir betrachten die Summe der einzelnen Glieder der Summenfunktion.

n Summe
1    
2    
3    
4    
5    
6    
7    
8    
9    
10    
11    
12    
13    
14    
15    
16    
17    
18    
19    
20    
21    
22    
23    
24    
25    
26    
27    
28    
29    
30    
31    
32    
33    
34    
35    
36    
37    
38    
39    
40    
41    
42    
43    
44    
45    
46    
47    
48    
49    
50    
51    
52    
53    
54    
55    
56    
57    
58    
59    
60    
61    
62    
63    
64    
65    
66    
67    
68    
69    
70    
71    
72    
73    
74    
75    
76    
77    
78    
79    
80    
81    
82    
83    
84    
85    
86    
87    
88    
89    
90    
91    
92    
93    
94    
95    
96    
97    
98    
99    
1,00000000000    
1,51763809021    
1,93185165258    
2,28824561127    
2,60608285647    
2,89577271977    
3,16372191220    
3,41421356237    
3,65028153987    
3,87416907622    
4,08759084151    
4,29189271839    
4,48815428667    
4,67725731740    
4,85993313109    
5,03679629098    
5,20836916624    
5,37510022030    
5,53737788047    
5,69554122819    
5,84988835837    
6,00068300073    
6,14815982551    
6,29252873988    
6,43397840021    
6,57267910845    
6,70878521976    
6,84243715852    
6,97376311795    
7,10288050203    
7,22989715582    
7,35491242113    
7,47801804675    
7,59929897710    
7,71883403860    
7,83669653945    
7,95295479588    
8,06767259552    
8,18090960698    
8,29272174288    
8,40316148284    
8,51227816152    
8,62011822638    
8,72672546889    
8,83214123238    
8,93640459954    
9,03955256180    
9,14162017269    
9,24264068712    
9,34264568799    
9,44166520159    
9,53972780290    
9,63686071201    
9,73308988237    
9,82844008179    
9,92293496696    
10,0165971520    
10,1094482715    
10,2015090395    
10,2927993025    
10,3833380902    
10,4731436618    
10,5622335485    
10,6506245938    
10,7383329908    
10,8253743167    
10,9117635651    
10,9975151759    
11,0826430641    
11,1671606458    
11,2510808627    
11,3344162056    
11,4171787359    
11,4993801061    
11,5810315787    
11,6621440448    
11,7427280402    
11,8227937622    
11,9023510841    
11,9814095698    
12,0599784869    
12,1380668196    
12,2156832806    
12,2928363224    
12,3695341483    
12,4457847223    
12,5215957787    
12,5969748316    
12,6719291834    
12,7464659329    
12,8205919836    
12,8943140504    
12,9676386677    
13,0405721953    
13,1131208251    
13,1852905877    
13,2570873574    
13,3285168585    
13,3995846704    


[zurück] [Inhaltsverzeichnis] [vor]