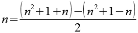
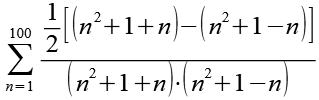
| [zurück] | Aufgabe 76 |
[vor] |
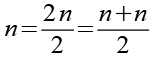
![]()
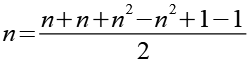
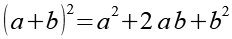
(Gl. 1)
Betrachten wir zuerst den Nenner des Bruchs, wir addieren und subtrahieren einmal n2.
![]()
(Gl. 2)
Wir fassen die zwei n2 zusammen.
![]()
(Gl. 3)
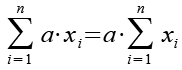
Es gilt.
![]()
(Gl. 4)
Mit Hilfe von Gl. 4 erhalten wir aus Gl. 3.
![]()
(Gl. 5)
Es gilt.
![]()
(Gl. 6)
Mit Hilfe von Gl. 6 erhalten wir aus Gl. 5, dabei ist a=(n2+1) und b=n.
![]()
(Gl. 7)
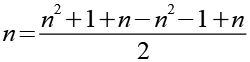
Als nächstes betrachten wir den Zähler aus Gl. 1, wir multiplizieren n mit 2/2.
![]()
(Gl. 8)
Wir addieren und substrahieren im Zähler einmal n2 und einmal 1.
![]()
(Gl. 9)
Wir sortieren den Zähler neu.
![]()
(Gl. 10)
Durch setzen von Klammern passen wir Gl. 10 an Gl. 7 an.
![]()
(Gl. 11)
Wir setzen Gl. 7 und Gl. 11 in Gl. 1 ein.
![]()
(Gl. 12)
Es gilt.
![]()
(Gl. 13)
Mit Hilfe von Gl. 13 erhalten wir aus Gl. 12.
![]()
(Gl. 14)
Es gilt.
![]()
(Gl. 15)
Mit Hilfe von Gl. 15 erhalten wir aus Gl. 14.
![]()
(Gl. 16)
In Gl. 16 können wir jeweils eine Klammer kürzen.
![]()
(Gl. 17)
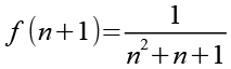
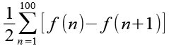
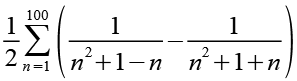
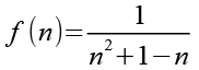
Wir definieren eine Funktion f(n).
![]()
(Gl. 18)
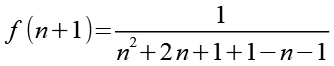
In Gl. 18 ersetzen wir n durch n+1.
![]()
(Gl. 19)
Es gilt.
![]()
(Gl. 20)
Mit Hilfe von Gl. 20 erhalten wir aus Gl. 19.
![]()
(Gl. 21)
Wir räumen den Nenner etwas auf.
![]()
(Gl. 22)
![]()
(Gl. 23)
Gl. 18 und Gl. 23 setzen wir in Gl. 17 ein.
![]()
(Gl. 24)
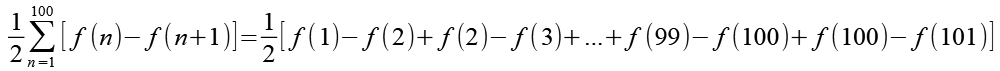
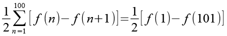
Wir "berechnen" die ersten und die letzen Glieder der Folge.
![]()
(Gl. 25)
Bis auf das erste und das letzten Glied heben sich alle benachbarten Glieder auf.
![]()
(Gl. 26)
Wir berechnen f(1) und setzen 1 in Gl. 18 ein.
![]()
(Gl. 27)
Wir berechnen f(101) und setzen 100 in Gl. 23 ein.
![]()
(Gl. 28)
Wir setzen Gl. 27 und Gl. 28 in Gl. 26 ein.
![]()
(Gl. 29)
![]()
(Gl. 30)
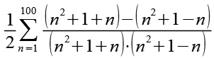
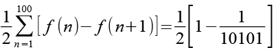
Das Ergebnis.
![]()
(Gl. 31)
Anhang 1
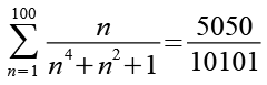
Man könnte natürlich auch die 100 Brüche manuell addieren, von den Zahlen habe ich zuerst die Primfaktorzerlegung berechnet.
| n | n4+n2+1 | |||
|
1 2 3 4 5 6 7 8 9 10 11 12 13 14 15 16 17 18 19 20 21 22 23 24 25 26 27 28 29 30 31 32 33 34 35 36 37 38 39 40 41 42 43 44 45 46 47 48 49 50 51 52 53 54 55 56 57 58 59 60 61 62 63 64 65 66 67 68 69 70 71 72 73 74 75 76 77 78 79 80 81 82 83 84 85 86 87 88 89 90 91 92 93 94 95 96 97 98 99 100 |
1 2 3 2·2 5 2·3 7 2·2·2 3·3 2·5 11 2·2·3 13 2·7 3·5 2·2·2·2 17 2·3·3 19 2·2·5 3·7 2·11 23 2·2·2·3 5·5 2·13 3·3·3 2·2·7 29 2·3·5 31 2·2·2·2·2 3·11 2·17 5·7 2·2·3·3 37 2·19 3·13 2·2·2·5 41 2·3·7 43 2·2·11 3·3·5 2·23 47 2·2·2·2·3 7·7 2·5·5 3·17 2·2·13 53 2·3·3·3 5·11 2·2·2·7 3·19 2·29 59 2·2·3·5 61 2·31 3·3·7 2·2·2·2·2·2 5·13 2·3·11 67 2·2·17 3·23 2·5·7 71 2·2·2·3·3 73 2·37 3·5·5 2·2·19 7·11 2·3·13 79 2·2·2·2·5 3·3·3·3 2·41 83 2·2·3·7 5·17 2·43 3·29 2·2·2·11 89 2·3·3·5 7·13 2·2·23 3·31 2·47 5·19 2·2·2·2·2·3 97 2·7·7 3·3·11 2·2·5·5 |
|
3 21 91 273 651 1333 2451 4161 6643 10101 14763 20881 28731 38613 50851 65793 83811 105301 130683 160401 194923 234741 280371 332353 391251 457653 532171 615441 708123 810901 924483 1049601 1187011 1337493 1501851 1680913 1875531 2086581 2314963 2561601 2827443 3113461 3420651 3750033 4102651 4479573 4881891 5310721 5767203 6252501 6767803 7314321 7893291 8505973 9153651 9837633 10559251 11319861 12120843 12963601 13849563 14780181 15756931 16781313 17854851 18979093 20155611 21386001 22671883 24014901 25416723 26879041 28403571 29992053 31646251 33367953 35158971 37021141 38956323 40966401 43053283 45218901 47465211 49794193 52207851 54708213 57297331 59977281 62750163 65618101 68583243 71647761 74813851 78083733 81459651 84943873 88538691 92246421 96069403 100010001 |
3 3·7 7·13 3·7·13 3·7·31 31·43 3·19·43 3·19·73 7·13·73 3·7·13·37 3·7·19·37 7·19·157 3·61·157 3·61·211 211·241 3·7·13·241 3·7·13·307 7·7·7·307 3·7·7·7·127 3·127·421 421·463 3·13·13·463 3·7·13·13·79 7·79·601 3·7·31·601 3·7·19·31·37 19·37·757 3·271·757 3·13·67·271 7·7·13·19·67 3·7·7·19·331 3·7·151·331 7·151·1123 3·397·1123 3·13·97·397 13·31·43·97 3·7·31·43·67 3·7·67·1483 7·223·1483 3·7·223·547 3·547·1723 13·139·1723 3·13·139·631 3·7·283·631 7·19·109·283 3·7·19·103·109 3·7·37·61·103 13·37·61·181 3·13·19·43·181 3·19·43·2551 7·379·2551 3·7·379·919 3·7·409·919 7·409·2971 3·13·79·2971 3·13·31·79·103 31·103·3307 3·7·163·3307 3·7·163·3541 7·523·3541 3·7·13·97·523 3·13·97·3907 37·109·3907 3·19·37·73·109 3·7·19·73·613 7·613·4423 3·7·7·31·4423 3·7·7·13·19·19·31 13·19·19·4831 3·1657·4831 3·1657·5113 7·751·5113 3·7·751·1801 3·7·13·61·1801 7·13·61·5701 3·1951·5701 3·1951·6007 6007·6163 3·7·7·43·6163 3·7·7·43·6481 7·13·73·6481 3·7·13·73·2269 3·19·367·2269 19·37·193·367 3·37·193·2437 3·7·1069·2437 7·13·19·31·1069 3·7·13·19·31·373 3·7·373·8011 8011·8191 3·2791·8191 3·43·199·2791 7·43·199·1249 3·7·13·229·1249 3·7·13·229·1303 7·67·139·1303 3·67·139·3169 3·31·313·3169 31·313·9901 3·7·13·37·9901 |
Ein interessantes Bild bekommt man wenn man sich die Verteilung der Primzahlen ansieht (in der Tabelle bis 200).
| n | n4+n2+1 | Primfaktorzerlegung | 3 | 7 | 13 | 19 | 31 | 37 | 43 | 61 | 67 | 73 | 79 | 97 | 103 | 109 | 127 | 139 | 151 | 157 | 163 | 181 | 193 | 199 |
|
1 2 3 4 5 6 7 8 9 10 11 12 13 14 15 16 17 18 19 20 21 22 23 24 25 26 27 28 29 30 31 32 33 34 35 36 37 38 39 40 41 42 43 44 45 46 47 48 49 50 51 52 53 54 55 56 57 58 59 60 61 62 63 64 65 66 67 68 69 70 71 72 73 74 75 76 77 78 79 80 81 82 83 84 85 86 87 88 89 90 91 92 93 94 95 96 97 98 99 100 |
3 21 91 273 651 1333 2451 4161 6643 10101 14763 20881 28731 38613 50851 65793 83811 105301 130683 160401 194923 234741 280371 332353 391251 457653 532171 615441 708123 810901 924483 1049601 1187011 1337493 1501851 1680913 1875531 2086581 2314963 2561601 2827443 3113461 3420651 3750033 4102651 4479573 4881891 5310721 5767203 6252501 6767803 7314321 7893291 8505973 9153651 9837633 10559251 11319861 12120843 12963601 13849563 14780181 15756931 16781313 17854851 18979093 20155611 21386001 22671883 24014901 25416723 26879041 28403571 29992053 31646251 33367953 35158971 37021141 38956323 40966401 43053283 45218901 47465211 49794193 52207851 54708213 57297331 59977281 62750163 65618101 68583243 71647761 74813851 78083733 81459651 84943873 88538691 92246421 96069403 100010001 |
3 3·7 7·13 3·7·13 3·7·31 31·43 3·19·43 3·19·73 7·13·73 3·7·13·37 3·7·19·37 7·19·157 3·61·157 3·61·211 211·241 3·7·13·241 3·7·13·307 7·7·7·307 3·7·7·7·127 3·127·421 421·463 3·13·13·463 3·7·13·13·79 7·79·601 3·7·31·601 3·7·19·31·37 19·37·757 3·271·757 3·13·67·271 7·7·13·19·67 3·7·7·19·331 3·7·151·331 7·151·1123 3·397·1123 3·13·97·397 13·31·43·97 3·7·31·43·67 3·7·67·1483 7·223·1483 3·7·223·547 3·547·1723 13·139·1723 3·13·139·631 3·7·283·631 7·19·109·283 3·7·19·103·109 3·7·37·61·103 13·37·61·181 3·13·19·43·181 3·19·43·2551 7·379·2551 3·7·379·919 3·7·409·919 7·409·2971 3·13·79·2971 3·13·31·79·103 31·103·3307 3·7·163·3307 3·7·163·3541 7·523·3541 3·7·13·97·523 3·13·97·3907 37·109·3907 3·19·37·73·109 3·7·19·73·613 7·613·4423 3·7·7·31·4423 3·7·7·13·19·19·31 13·19·19·4831 3·1657·4831 3·1657·5113 7·751·5113 3·7·751·1801 3·7·13·61·1801 7·13·61·5701 3·1951·5701 3·1951·6007 6007·6163 3·7·7·43·6163 3·7·7·43·6481 7·13·73·6481 3·7·13·73·2269 3·19·367·2269 19·37·193·367 3·37·193·2437 3·7·1069·2437 7·13·19·31·1069 3·7·13·19·31·373 3·7·373·8011 8011·8191 3·2791·8191 3·43·199·2791 7·43·199·1249 3·7·13·229·1249 3·7·13·229·1303 7·67·139·1303 3·67·139·3169 3·31·313·3169 31·313·9901 3·7·13·37·9901 |
X X X X X X X X X X X X X X X X X X X X X X X X X X X X X X X X X X X X X X X X X X X X X X X X X X X X X X X X X X X X X X X X X X X |
X X X X X X X X X X X X X X X X X X X X X X X X X X X X X X X X X X X X X X X X X X X X X X X X X X X X X X X X X |
X X X X X X X X X X X X X X X X X X X X X X X X X X X X X X X |
X X X X X X X X X X X X X X X X X X X X |
X X X X X X X X X X X X X X |
X X X X X X X X X X X |
X X X X X X X X X X |
X X X X X X |
X X X X X X |
X X X X X X |
X X X X |
X X X X |
X X X X |
X X X X |
X X |
X X X X |
X X |
X X |
X X |
X X |
X X |
X X |
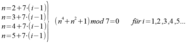
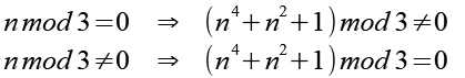
Wenn n durch 3 teilbar ist dann ist n4+n2+1 nicht durch 3 teilbar.
![]()
(Gl. 32)
Dieser Zusammenhang läßt sich auch anders formulieren.
![]()
(Gl. 33)
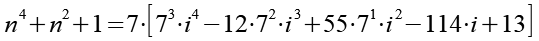
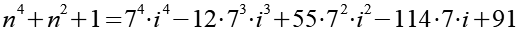
Für den Teiler 7 gilt. Zum Beweis siehe Anhang 2.
![]()
(Gl. 34)
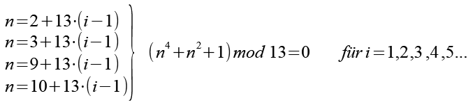
Für den Teiler 13 gilt.
![]()
(Gl. 49)
Anhang 2
Wenn Gl. 34 korrekt ist dann müsste es möglich sein bei der Berechnung von n4+n2+1 die 7 auszuklammern, unabhängig von i.
![]()
(Gl. 35)
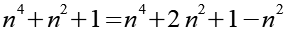
Gl. 35 setzen wir in n4+n2+1 ein.
![]()
(Gl. 36)
Es gilt.
![]()
(Gl. 37)
![]()
(Gl. 38)
![]()
(Gl. 39)
![]()
(Gl. 40)
Es gilt.
![]()
(Gl. 41)
![]()
(Gl. 42)
![]()
(Gl. 43)
Gl. 40 und Gl. 43 setzen wir in n4+n2+1 ein.
![]()
(Gl. 44)
![]()
(Gl. 45)
Die 91 ersetzen wir durch 13*7.
![]()
(Gl. 46)
In Gl. 46 können wir einmal 7 ausklammern.
![]()
(Gl. 47)
![]()
(Gl. 48)
Wenn n=4+7*(i-1) ist, dann ist n4+n2+1 durch 7 teilbar.
Anhang 3
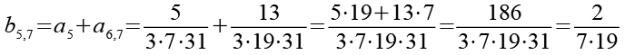
Zur Primfaktorzerlegung siehe Tabelle in Anhang 1. Die Brüche habe ich zuerst paarweise addiert, dabei habe ich möglichst Paare ausgewählt bei denen die größte Primzahl im Nenner gleich ist. Einige Brüche habe ich dabei übersprungen.
![]()

![]()

![]()

![]()

![]()

![]()

![]()

![]()

![]()

![]()

![]()

![]()

![]()

![]()

![]()

![]()

![]()

![]()

![]()

![]()

![]()

![]()

![]()

![]()

![]()

![]()

![]()

![]()

![]()

![]()

![]()

![]()

![]()

![]()

![]()

![]()

![]()

![]()

![]()

![]()

![]()

![]()

![]()

![]()

![]()

![]()

![]()

![]()

![]()

![]()

![]()

![]()

![]()

![]()

![]()

![]()

![]()

![]()

![]()

![]()

![]()

![]()

![]()

![]()

![]()

![]()

![]()

![]()

![]()

![]()

![]()

![]()

![]()

![]()

![]()

![]()

Übersprungen habe ich a5, a14, a23, a26, a37, a40, a47, a56, a61, a68, a77 und a84. Sie wurden im zweiten Schritt berücksichtigt. Die 100 Brüche habe ich auf 56 Brüche reduziert.
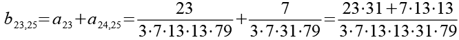
Schritt 2 (b)
In Schritt 2 habe ich alle Brüche aus Schritt 1 addiert und dabei auch alle ausgelassenen berücksichtigt. Die 100 Brüche wurden so auf 28 Brüche reduziert.
![]()

![]()

![]()

![]()

![]()

![]()

![]()

![]()

![]()

![]()

![]()

![]()

![]()

![]()

![]()

![]()

![]()

![]()

![]()

![]()

![]()

![]()

![]()

![]()

![]()

![]()

![]()

![]()

![]()

![]()

![]()

![]()

![]()

![]()

![]()

![]()

![]()

![]()

![]()

![]()

![]()

![]()

![]()

![]()

![]()

![]()

![]()

![]()

![]()

![]()

![]()

![]()

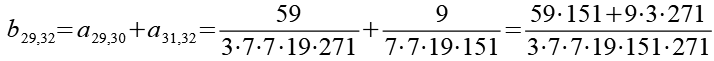
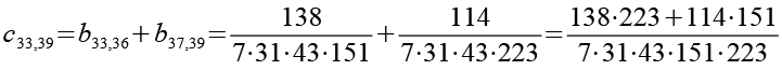
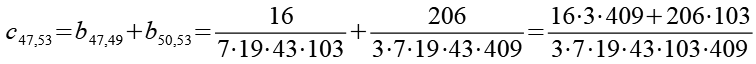
Schritt 3 (c)
In Schritt 3 habe ich alle Brüche aus Schritt 2 addiert. Die 28 Brüche aus Schritt 2 wurden so auf 13 Brüche reduziert.
![]()

![]()

![]()

![]()

![]()

![]()

![]()

![]()

![]()

![]()

![]()

![]()

![]()

![]()

![]()

![]()

![]()

![]()

![]()

![]()

![]()

![]()

![]()

![]()

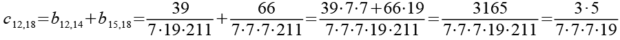
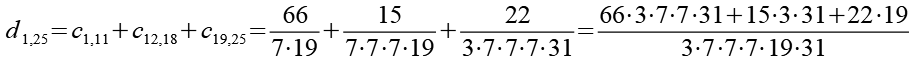
Schritt 4 (d)
In Schritt 4 habe ich alle Brüche aus Schritt 3 addiert. Die 13 Brüche aus Schritt 3 wurden so auf 6 Brüche reduziert.
![]()

![]()

![]()

![]()

![]()

![]()

![]()

![]()

![]()

![]()

![]()

![]()

Schritt 5 (e)
In Schritt 5 habe ich alle Brüche aus Schritt 4 addiert. Die 6 Brüche aus Schritt 4 wurden so auf 2 Brüche reduziert.
![]()

![]()

![]()

![]()

![]()

![]()

Schritt 6 (f)
Im letzten Schritt wurde die 3 Brüche aus Schritt 5 addiert, das Ergebnis ist korrekt, siehe Gl. 31.
![]()

![]()

![]()

Diese Brechnung war zwar völlig überflüssig aber der Reiz liegt darin ob man es ohne Fehler schafft.
| [zurück] | [Inhaltsverzeichnis] | [vor] |