[zurück]

Aufgabe 66

[vor]

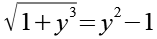
      (Gl. 1)

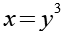
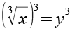
Wir substituieren die Kubikwurzel durch y.

      (Gl. 2)

Beide Seiten von Gl. 2 potenzieren wir mit 3.

      (Gl. 3)

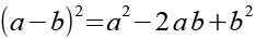
Auf der linken Seite heben sich Wurzel und Potenz auf.

      (Gl. 4)

Wir setzen Gl. 2 und Gl. 4 in Gl. 1 ein.

      (Gl. 5)

Beide Seiten werden quadriert.

      (Gl. 6)

Auf der linken Seite heben sich Wurzel und Potenz auf.

      (Gl. 7)

Auf beiden Seiten subtrahieren wir 1.

      (Gl. 8)

Die 1 ersetzen wir durch 12.

      (Gl. 9)

Es gilt.

      (Gl. 10)

Mit Hilfe von Gl. 10 erhalten wir aus Gl. 9.

      (Gl. 11)

Beide Seiten werden quadriert.

      (Gl. 12)

Auf der linken Seite heben sich Wurzel und Potenz auf.

      (Gl. 13)

Es gilt.

      (Gl. 67)

Mit Hilfe von Gl. 67 erhalten wir aus Gl. 13.

      (Gl. 14)

Die 1 ersetzen wir durch 13.

      (Gl. 15)

Es gilt.

      (Gl. 16)

Mit Hilfe von Gl. 16 erhalten wir aus Gl. 15.

      (Gl. 17)

      (Gl. 18)

Die rechte Seite bringen wir auf die linke Seite.

      (Gl. 19)

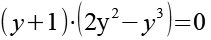
Wir können (y+1) ausklammern.

      (Gl. 20)

Es gilt.

      (Gl. 21)

Mit Hilfe von Gl. 21 erhalten wir aus Gl. 20.

      (Gl. 22)

      (Gl. 23)

Wir multiplizieren die Klammern aus.

      (Gl. 24)

      (Gl. 25)

      (Gl. 26)

Wir erhalten ein Produkt und können beide Klammern separat gleich Null setzen.

      (Gl. 27)

      (Gl. 28)       (Gl. 30)
      (Gl. 29)       (Gl. 31)
      (Gl. 32)
      (Gl. 33)
      (Gl. 34)
      (Gl. 35)

Wir erhalten 3 Lösungen für y.

      (Gl. 36)       (Gl. 37)       (Gl. 38)

Jetzt müssen wir die Substitution rückgängig machen, dazu setzen wir Gl. 36, Gl. 37 und Gl. 38 in Gl. 4 ein.

      (Gl. 4)
      (Gl. 36)       (Gl. 37)       (Gl. 38)
      (Gl. 39)       (Gl. 41)       (Gl. 43)
      (Gl. 40)       (Gl. 42)       (Gl. 44)

Wir erhalten 3 Lösungen für x.

      (Gl. 40)       (Gl. 42)       (Gl. 44)

Zur Kontrolle setzen wir die Lösungen Gl. 40, Gl. 42 und Gl. 44 in Gl. 1 ein. Die linke Seite (L) und die rechte Seite (R) betrachten wir separat.

      (Gl. 1)

      (Gl. 45)       (Gl. 46)
      (Gl. 47)
      (Gl. 49)
      (Gl. 50)       (Gl. 48)
      (Gl. 51)

x1 ist keine Lösung für Gl. 1.

      (Gl. 52)       (Gl. 53)
      (Gl. 54)
      (Gl. 56)
      (Gl. 57)       (Gl. 55)
      (Gl. 58)

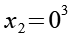
x2 ist keine Lösung für Gl. 1.

      (Gl. 59)       (Gl. 60)
      (Gl. 61)
      (Gl. 62)
      (Gl. 64)
      (Gl. 65)       (Gl. 63)
      (Gl. 66)

Nur x3 ist eine Lösung für Gl. 1.


Anhang 3


[zurück] [Inhaltsverzeichnis] [vor]