[zurück]

Interessante Mathe Aufgaben

[vor]

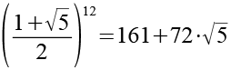
Bei dieser Aufgabe geht es nicht darum eine Gleichung zu lösen sondern den Ausdruck ohne Benutzung eines Taschenrechners zu vereinfachen.

      (Gl. 1)

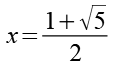
Wir substituieren x.

      (Gl. 2)

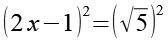
Beie Seiten multiplizieren wir mit 2.

      (Gl. 3)

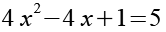
Auf beiden Seiten subtrahieren wir 1.

      (Gl. 4)

Beide Seiten werden quadriert.

      (Gl. 5)

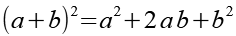
Es gilt.

      (Gl. 6)

Mit Hilfe von Gl. 6 erhalten wir aus Gl. 5.

      (Gl. 7)

Auf beiden Seiten subtrahieren wir 5.

      (Gl. 8)

Die 4 können wir ausklammern.

      (Gl. 9)

Beide Seiten teilen wir durch 4.

      (Gl. 10)

Auf beiden Seiten addieren wir x+1.

      (Gl. 11)

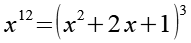
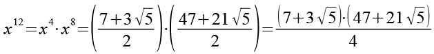
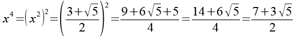
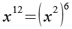
Die 12. Potenz schreiben wir etwas anders.

      (Gl. 12)

      (Gl. 13)

Gl. 11 setzen wir in Gl. 13 ein.

      (Gl. 14)

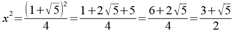
Es gilt.

      (Gl. 15)

Mit Hilfe von Gl. 15 erhalten wir aus Gl. 4.

      (Gl. 16)

Gl. 11 setzen wir in Gl. 16 ein.

      (Gl. 17)

      (Gl. 18)

Gl. 18 stellen wir etwas um.

      (Gl. 19)

Auf Gl. 19 wenden wir wieder Gl. 15 ein.

      (Gl. 20)

Gl. 11 setzen wir in Gl. 20 an.

      (Gl. 21)

      (Gl. 22)

Die Klammern werden ausmultipliziert.

      (Gl. 23)

      (Gl. 24)

      (Gl. 25)

Gl. 11 setzen wir in Gl. 25 an.

      (Gl. 26)

      (Gl. 27)

      (Gl. 28)

Gl. 2 setzen wir auf der rechten Seite in Gl. 28 ein

      (Gl. 29)

      (Gl. 30)

      (Gl. 31)

      (Gl. 32)

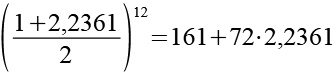
Gl. 2 setzen wir auf der linken Seite in Gl. 32 ein und erhalten die gewünschte Lösung.

      (Gl. 33)

Kontrolle

      (Gl. 34)

      (Gl. 35)

      (Gl. 36)

      (Gl. 37)

Anhang 1

Ein anderer Lösungsweg.

      (Gl. 38)

      (Gl. 39)

      (Gl. 40)

      (Gl. 41)

      (Gl. 42)

      (Gl. 32)

      (Gl. 33)

Anhang 2

Bei Gl. 2 handelt es sich um den goldenen Schnitt phi.

      (Gl. 43)

Für die Potenz des goldenen Schnitts gilt allgemein.

      (Gl. 44)

In diesem Fall.

      (Gl. 45)

f11 und f12 sind Fibonacci Zahlen.

      (Gl. 46)

      (Gl. 47)

Wir setzen Gl. 43, Gl. 46 und Gl. 47 in Gl. 45 ein.

      (Gl. 48)

      (Gl. 49)

      (Gl. 33)


[zurück] [Inhaltsverzeichnis] [vor]