[zurück]

Interessante Mathe Aufgaben

[vor]

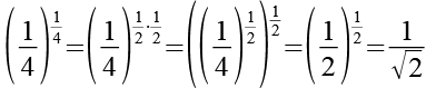
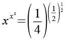
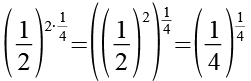
      (Gl. 1)

Es gilt:

      (Gl. 2)

Mit Hilfe von Gl. 2 stellen wir den Exponenten in Gl. 1 etwas um.

      (Gl. 3)

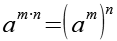
Es gilt:

      (Gl. 34)

Mit Hilfe von Gl. 34 stellen wir Gl. 3 etwas um.

      (Gl. 4)

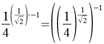
Auf beiden Seiten bilden wir den Kehrwert.

      (Gl. 5)

Auf der linken Seite heben sich die beiden Exponenten "-1" gegenseitig aus.

      (Gl. 6)

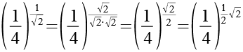
Den Exponenten auf der rechten Seite stellen wir etwas um.

      (Gl. 7)

Mit Hilfe von Gl. 34 erhalten wir aus Gl. 7.

      (Gl. 8)

Es gilt:

      (Gl. 9)

Mit Hilfe von Gl. 9 erhalten wir aus Gl. 8.

      (Gl. 10)

Wir formen den Exponenten aus Gl. 10 etwas um.

      (Gl. 11)

      (Gl. 12)

Gl. 12 setzen wir in Gl. 10 ein.

      (Gl. 13)

Mit Hilfe von Gl. 34 erhalten wir aus Gl. 13.

      (Gl. 14)

Wir bilden das Quadrat von 1/2.

      (Gl. 15)

Es gilt:

      (Gl. 16)

Mit Hilfe von Gl. 16 können wir den Exponenten in Gl. 15 umformen.

      (Gl. 17)

Gl. 17 setzen wir in Gl. 15 ein.

      (Gl. 18)

      (Gl. 19)

Gl. 19 setzen wir in Gl. 18 ein.

      (Gl. 20)

Den Exponenten formen wir etwas um.

      (Gl. 21)

Betrachten wir nur einen Teil von Gl. 21. Mit Hilfe von Gl. 34 erhalten wir.

      (Gl. 22)

Gl. 22 setzen wir wieder in Gl. 21 ein.

      (Gl. 23)

Die linke und die rechte Seite von Gl. 23 haben die gleiche Struktur, daraus ergibt sich die gesuchte Lösung.

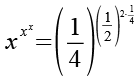
      (Gl. 24)


Zur Kontrolle setzen wir Gl. 24 in Gl. 1 ein.

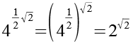
      (Gl. 25)

Den Exponenten von Gl. 25 formen wir etwas um.

      (Gl. 26)

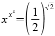
G. 26 setzen wir in Gl. 25 ein. Mit Hilfe von Gl. 34 und Gl. 9 erhalten wir.

      (Gl. 27)

Den Exponent formen wir etwas um.

      (Gl. 28)

      (Gl. 29)

Wir erhalten wieder Gl. 1 als Resultat.

      (Gl. 1)


Gl. 27 können wir aus anders umstellen.

      (Gl. 30)

      (Gl. 31)

      (Gl. 32)

      (Gl. 33)

Wir erhalten natürlich das selbe Ergebnis.


[zurück] [Inhaltsverzeichnis] [vor]