[zurück]

Aufgabe 65

[vor]

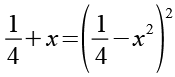
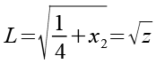
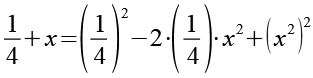
      (Gl. 1)

Beide Seiten werden quadriert.

      (Gl. 2)

Auf der linken Seite heben sich Wurzel und Quadrat auf.

      (Gl. 3)

Es gilt.

      (Gl. 4)

Mit Hilfe von Gl. 4 erhalten wir aus Gl. 3.

      (Gl. 5)

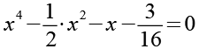
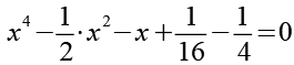
Wir erhalten eine Gleichung 4. Grades (bezogen auf x) die nicht einfach lösbar ist.

      (Gl. 6)

Wir substituieren daher 1/4 durch m und betrachten m als neue Variable.

      (Gl. 7)

Wir setzen Gl. 7 in Gl. 6 ein.

      (Gl. 8)

Wir subtrahieren auf beiden Seiten m+x.

      (Gl. 9)

      (Gl. 10)

Wir können einmal m ausklammern.

      (Gl. 11)

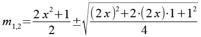
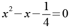
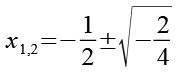
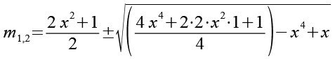
Wir erhalten eine quadratischen Gleichung bezogen auf m.

      (Gl. 12)

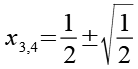
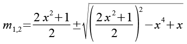
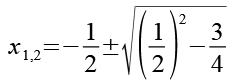
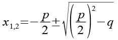
Für die Lösung der quadratischen Gleichung gilt.

      (Gl. 13)

      (Gl. 14)

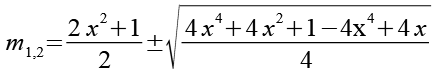
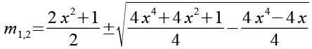
Wir wenden Gl. 5 auf Gl. 12 an.

      (Gl. 15)

Es gilt.

      (Gl. 16)

Mit Hilfe von Gl. 16 erhalten wir aus Gl. 15.

      (Gl. 17)

Beide Ausdrücke unter der Wurzel bringen wir auf den gleichen Nenner.

      (Gl. 18)

      (Gl. 19)

      (Gl. 20)

Es gilt.

      (Gl. 21)

>Mit Hilfe von Gl. 21 formen wir Gl. 20 um.

      (Gl. 22)

Mit Hilfe von Gl. 21 erhalten wir aus Gl. 22.

      (Gl. 23)

Wurzel und Quadrat heben sich auf.

      (Gl. 24)

Beide Brüche addieren wir.

      (Gl. 25)

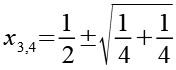
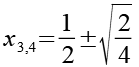
Lösung 1.

      (Gl. 26)

      (Gl. 27)

      (Gl. 28)

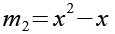
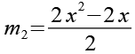
Lösung 2.

      (Gl. 29)

      (Gl. 30)

      (Gl. 31)

      (Gl. 32)

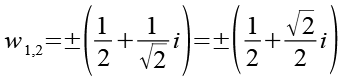
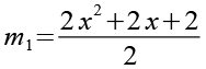
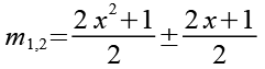
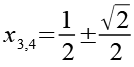
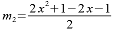
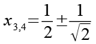
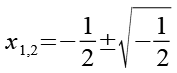
Für m erhalten wir zwei Lösungen m1 und m2, wir machen die Substitution wieder rückgängig und setzen Gl. 28 und Gl. 32 in Gl. 7 ein.

      (Gl. 28)       (Gl. 32)
      (Gl. 33)       (Gl. 44)
      (Gl. 34)
      (Gl. 35)       (Gl. 45)

Wir erhalten wieder eine quadratischen Gleichung die wir mit Hilfe von Gl. 14 lösen können.

      (Gl. 36)       (Gl. 46)
      (Gl. 37)       (Gl. 47)
      (Gl. 38)       (Gl. 48)
      (Gl. 39)       (Gl. 49)
      (Gl. 40)       (Gl. 50)
      (Gl. 41)       (Gl. 51)
      (Gl. 42)       (Gl. 52)
      (Gl. 43)       (Gl. 53)

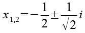
Die vier Lösungen

      (Gl. 42)       (Gl. 43)       (Gl. 52)       (Gl. 53)


Anhang 1

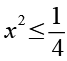
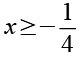
Aus Gl. 1 können wir den Wertebereich von x abschätzen.

      (Gl. 1)

Für die linke Seite gilt (keine komplexen Zahlen).

      (Gl. 54)

      (Gl. 55)

Für die rechte Seite gilt.

      (Gl. 56)

      (Gl. 57)

      (Gl. 58)

Für x gilt.

      (Gl. 59)

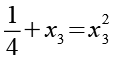
x3 fällt nicht darunter und ist keine Lösung für Gl. 1.


Anhang 2

      (Gl. 1)

Als kleine "Fingerübung" setzen wir zur Kontrolle x1, x2, x3 und x4 in Gl. 1 ein.

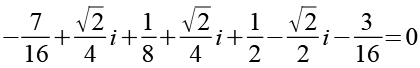
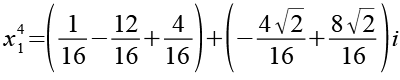
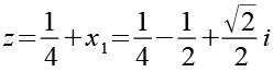
x1

      (Gl. 42)

Es gilt.

      (Gl. 60)

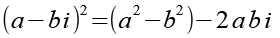
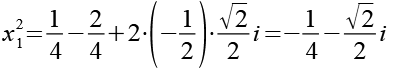
Berechnen wir zuerst das Quadrat.

      (Gl. 61)

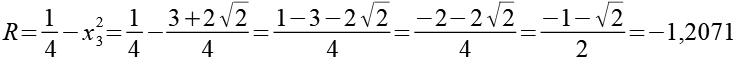
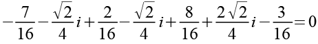
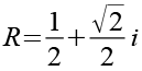
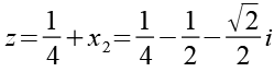
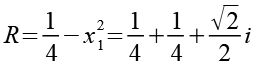
Für die rechte Seite der Gleichung (R) erhalten wir.

      (Gl. 62)

      (Gl. 63)

Für die linke Seite der Gleichung (L) erhalten wir.

      (Gl. 64)

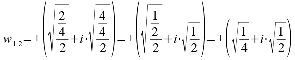
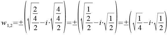
Für die Wurzel einer komplexen Zahl gilt.

      (Gl. 65)

      (Gl. 66)

      (Gl. 67)

      (Gl. 68)

      (Gl. 69)

      (Gl. 70)

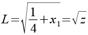
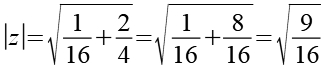
Der Betrag von z.

      (Gl. 71)

      (Gl. 72)

      (Gl. 73)

      (Gl. 74)

      (Gl. 75)

      (Gl. 76)

      (Gl. 77)

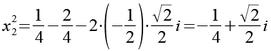
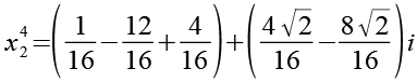
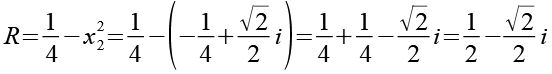
x2

      (Gl. 43)

Es gilt.

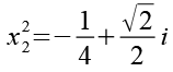
      (Gl. 78)

Berechnen wir zuerst das Quadrat.

      (Gl. 79)

Für die rechte Seite der Gleichung (R) erhalten wir.

      (Gl. 80)

      (Gl. 81)

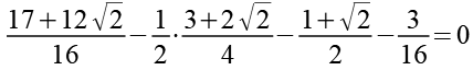
Für die linke Seite der Gleichung (L) erhalten wir.

      (Gl. 82)

      (Gl. 83)

      (Gl. 84)

Der Betrag von z.

      (Gl. 72)

      (Gl. 85)

      (Gl. 86)

      (Gl. 87)

      (Gl. 88)

      (Gl. 77)

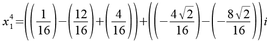
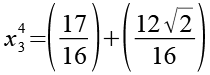
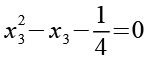
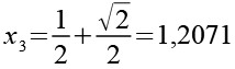
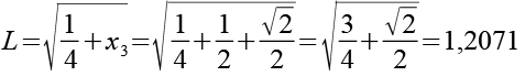
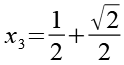
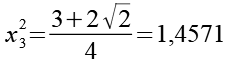
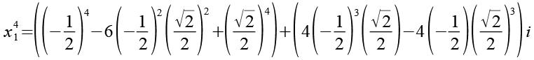
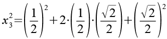
x3

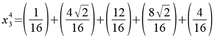
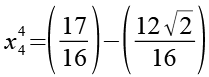
Aus Gl. 6 erhalten wir eine Gleichung 4. Grades.

      (Gl. 89)

Es gilt.

      (Gl. 90)

Berechnen wir zuerst das Quadrat.

      (Gl. 91)

      (Gl. 92)

      (Gl. 93)

      (Gl. 94)

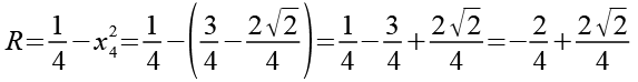
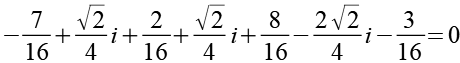
Für die linke Seite der Gleichung (L) erhalten wir.

      (Gl. 95)

Für die rechte Seite der Gleichung (R) erhalten wir.

      (Gl. 96)

      (Gl. 97)

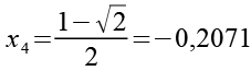
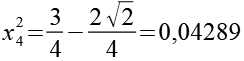
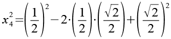
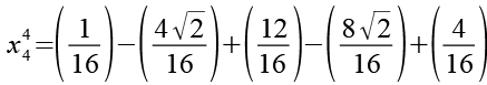
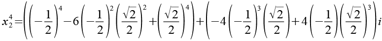
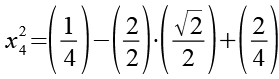
x4

      (Gl. 98)

Es gilt.

      (Gl. 99)

Berechnen wir zuerst das Quadrat.

      (Gl. 100)

      (Gl. 101)

      (Gl. 102)

Für die rechte Seite der Gleichung (R) erhalten wir.

      (Gl. 103)

      (Gl. 104)

Für die linke Seite der Gleichung (L) erhalten wir.

      (Gl. 105)

      (Gl. 106)

      (Gl. 107)

      (Gl. 77)


Anhang 3

      (Gl. 108)

      (Gl. 109)

Als kleine "Fingerübung" setzen wir zur Kontrolle x1, x2, x3 und x4 in Gl. 109 ein.

x1

      (Gl. 110)

Es gilt.

      (Gl. 111)

      (Gl. 112)

      (Gl. 113)

      (Gl. 114)

      (Gl. 115)

      (Gl. 116)

      (Gl. 117)

      (Gl. 118)

Wir setzen Gl. 117, Gl. 118 und Gl. 110 in Gl. 109 ein.

      (Gl. 119)

      (Gl. 120)

      (Gl. 121)

      (Gl. 122)

      (Gl. 123)

      (Gl. 124)

x2

      (Gl. 125)

Es gilt.

      (Gl. 126)

      (Gl. 127)

      (Gl. 128)

      (Gl. 129)

      (Gl. 130)

      (Gl. 131)

      (Gl. 132)

      (Gl. 133)

Wir setzen Gl. 132, Gl. 133 und Gl. 125 in Gl. 109 ein.

      (Gl. 134)

      (Gl. 135)

      (Gl. 136)

      (Gl. 137)

      (Gl. 138)

      (Gl. 124)

x3

      (Gl. 139)

Es gilt.

      (Gl. 140)

      (Gl. 141)

      (Gl. 142)

      (Gl. 143)

      (Gl. 144)

      (Gl. 145)

      (Gl. 146)

      (Gl. 147)

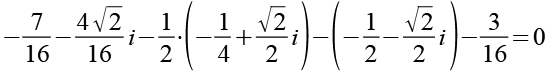
Wir setzen Gl. 146, Gl. 147 und Gl. 139 in Gl. 109 ein.

      (Gl. 148)

      (Gl. 149)

      (Gl. 150)

      (Gl. 151)

      (Gl. 152)

      (Gl. 153)

      (Gl. 124)

x4

      (Gl. 154)

Es gilt.

      (Gl. 155)

      (Gl. 156)

      (Gl. 157)

      (Gl. 158)

      (Gl. 159)

      (Gl. 160)

      (Gl. 161)

      (Gl. 162)

Wir setzen Gl. 161, Gl. 162 und Gl. 154 in Gl. 109 ein.

      (Gl. 163)

      (Gl. 164)

      (Gl. 165)

      (Gl. 166)

      (Gl. 167)

      (Gl. 168)

      (Gl. 124)


Anhang 4

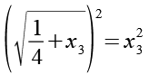
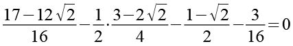
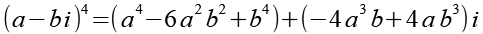
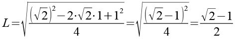
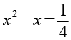
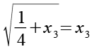
Bei x3 gibt es einen interessanten Zusammenhang.

      (Gl. 89)

      (Gl. 95)

Aus Gl. 89 und Gl. 95 ergibt sich.

      (Gl. 169)

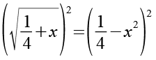
Wir versuchen Gl. 169 zu lösen, dazu werden beide Seiten quadriert.

      (Gl. 170)

Auf der linken Seite heben sich Wurzel und Quadrat auf.

      (Gl. 171)

Wir erhalten eine quadratische Gleichung, sie ist identisch mit Gl. 45 (s.o.).

      (Gl. 172)

Eine Lösung dieser Gleichung ist x3.


[zurück] [Inhaltsverzeichnis] [vor]