[zurück]

Interessante Mathe Aufgaben

[vor]

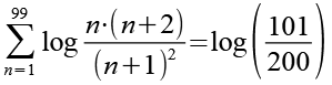
Bei dieser Aufgabe geht es nicht darum eine Gleichung zu lösen sondern den Ausdruck ohne Benutzung eines Taschenrechners zu vereinfachen.

      (Gl. 1)

Es gilt.

      (Gl. 2)

Mit Hilfe von Gl. 2 erhalten wir.

      (Gl. 3)

Es gilt.

      (Gl. 4)

      (Gl. 5)

Mit Hilfe von Gl. 4 und Gl. 5 erhalten wir aus Gl. 3.

      (Gl. 6)

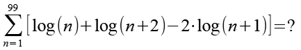
Gl. 6 ordnen wir etwas anders an.

      (Gl. 7)

Wir ersetzen -2 log(n+1) durch -log(n+1) - log(n+1).

      (Gl. 8)

      (Gl. 9)

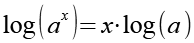
Wir definieren eine Funktion f(n).

      (Gl. 10)

Das n in Gl. 10 ersetzen wir durch n+1 und erhalten die Funktion f(n+1).

      (Gl. 11)

      (Gl. 12)

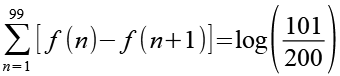
Gl. 10 und Gl. 12 setzen wir in Gl. 9 ein.

      (Gl. 13)

Wir führen die Summenfunktion aus (n=1 bis n=99).

      (Gl. 14)

Bis auf das erste und letze Glied heben sich benachbarte Glieder auf.

      (Gl. 15)

Aus Gl. 10 bilden wir f(1) und f(100).

      (Gl. 16)

      (Gl. 17)

Gl. 16 und Gl. 17 setzen wir in Gl. ein.

      (Gl. 18)

Es gilt.

      (Gl. 19)

Mit Hilfe von Gl. 19 erhalten wir.

      (Gl. 20)

      (Gl. 21)

Es gilt.

      (Gl. 22)

Mit Hilfe von Gl. 22 erhalten wir aus Gl. 21.

      (Gl. 23)

Es gilt.

      (Gl. 24)

Mit Hilfe von Gl. 24 erhalten wir aus Gl. 23.

      (Gl. 25)

Das Ergebnis.

      (Gl. 26)


[zurück] [Inhaltsverzeichnis] [vor]