[zurück]

Aufgabe 46

[vor]

      (Gl. 1)

Gl. 1 stellen wir ein bischen um.

      (Gl. 2)

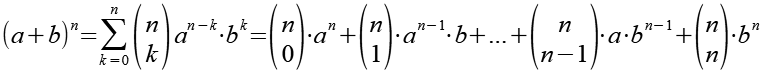
Für den binomischen Lehrsatz gilt.

      (Gl. 3)

Für den Binominalkoeffizienten gilt.

      (Gl. 4)

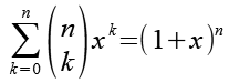
In Gl. 3 setzen wir a=1 und b=x ein und erhalten.

      (Gl. 5)

Beide Seiten von Gl. 5 werden differenziert.

      (Gl. 6)

Bei der Summenfunktion separieren wir das erste Glied für k=0.

      (Gl. 7)

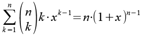
Das erste Glied der Folge ist Null, der Startwert ist jetzt k=1.

      (Gl. 8)

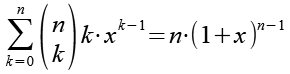
Aus Gl. 6 erhalten wir jetzt.

      (Gl. 9)

Für x setzten wir -1 ein.

      (Gl. 10)

Mit Hilfe von Gl. 10 erhalten wir.

      (Gl. 11)

      (Gl. 12)

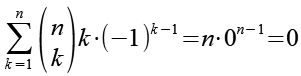
Für n>1 gilt.

      (Gl. 13)

Mit Hilfe von Gl. 13 erhalten wir.

      (Gl. 14)

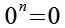
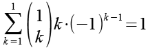
Für n=1 gilt.

      (Gl. 15)

Es gilt.

      (Gl. 16)       (Gl. 17)       (Gl. 18)

Mit Hilfe von Gl. 16, Gl. 17 und Gl. 18 erhalten wir aus Gl. 15.

      (Gl. 19)

Das Ergebnis.

      (Gl. 20)


[zurück] [Inhaltsverzeichnis] [vor]