[zurück]

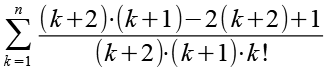
Aufgabe 77

[vor]

      (Gl. 1)

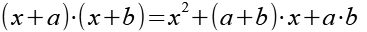
Es gilt.

      (Gl. 2)

Mit Hilfe von Gl. 2 erhalten wir aus Gl. 1.

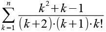
      (Gl. 3)

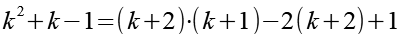
Betrachten wir nur den Zähler aus Gl. 1 und addieren und subtrahieren jeweils 2k und 2.

      (Gl. 4)

Die rechte Seite von Gl. 4 sortieren wir neu.

      (Gl. 5)

Es gilt.

      (Gl. 6)

Mit Hilfe von Gl. 6 erhalten wir aus Gl. 5.

      (Gl. 7)

Wir addieren und subtrahieren 1.

      (Gl. 8)

Die rechte Seite von Gl. 8 sortieren wir neu.

      (Gl. 9)

Jetzt können wir 2 ausklammern.

      (Gl. 10)

Gl. 10 setzen wir in Gl. 3 ein.

      (Gl. 11)

Es gilt.

      (Gl. 12)

Mit Hilfe von Gl. 12 erhalten wir aus Gl. 11.

      (Gl. 13)

Jetzt können wir kürzen.

      (Gl. 14)

Es gilt.

      (Gl. 15)

      (Gl. 16)

Mit Hilfe von Gl. 15 und Gl. 16 erhalten wir aus Gl. 14.

      (Gl. 17)

Den zweiten Bruch trennen wir in zwei Brüche.

      (Gl. 18)

Wir setzen zusätzliche Klammern und beachten die Vorzeichen.

      (Gl. 19)

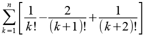
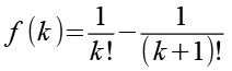
Wir definieren eine Funktion f(k).

      (Gl. 20)

In Gl. 20 ersetzen wir k durch k+1, dieser Ausdruck ist identisch mit der rechten Klammer in Gl. 19.

      (Gl. 21)

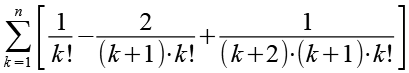
Wir setzen Gl. 20 und Gl. 21 in Gl. 19 ein.

      (Gl. 22)

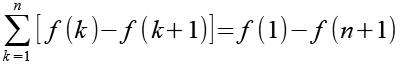
Wir berechnen die ersten und letzten Glieder der Reihe.

      (Gl. 23)       (Gl. 24)

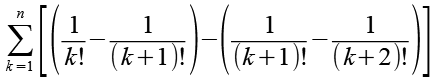
Bis auf das erste und das letzte Glied heben sich benachbarte Glieder auf.

      (Gl. 25)

Für f(1) gilt.

      (Gl. 26)

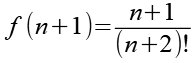
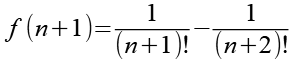
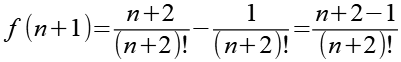
Für f(n+1) gilt.

      (Gl. 27)

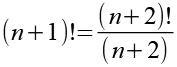
Es gilt.

      (Gl. 28)

Wir lösen Gl. 28 nach (n+1)! auf.

      (Gl. 29)

Wir setzen Gl. 29 in Gl. 27 ein.

      (Gl. 30)

Für f(n+1) erhalten wir.

      (Gl. 31)

Wir setzen Gl. 26 und Gl. 31 in Gl. 25 ein.

      (Gl. 32)

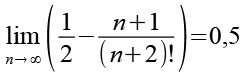
Das Endergebnis.

      (Gl. 33)


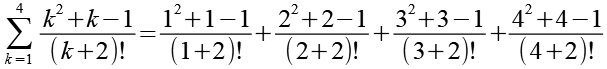
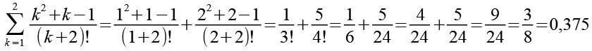
Anhang 1

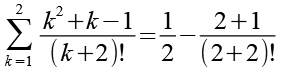
Setzten wir einmal n=2 und n=4 in Gl. 33 ein.

n=2

      (Gl. 34)

      (Gl. 35)

      (Gl. 36)

n=4

      (Gl. 37)

      (Gl. 38)

      (Gl. 39)

      (Gl. 40)


Anhang 2

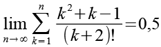
Die Ergebnisse für n=1 bis n=15, daraus läßt sich auch ein Grenzwert definieren.

n Summe
1    
2    
3    
4    
5    
6    
7    
8    
9    
10    
11    
12    
13    
14    
15    
0,166666666667    
0,375000000000    
0,466666666667    
0,493055555556    
0,498809523810    
0,499826388889    
0,499977954145    
0,499997519841    
0,499999749479    
0,499999977036    
0,499999998073    
0,499999999851    
0,499999999989    
0,499999999999    
0,500000000000    

      (Gl. 41)

      (Gl. 42)


[zurück] [Inhaltsverzeichnis] [vor]