[zurück]

Aufgabe 72

[vor]

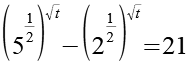
      (Gl. 1)

t ist eine positive ganze Zahl.

      (Gl. 2)

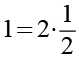
Es gilt.

      (Gl. 3)

Mit Hilfe von Gl. 3 erhalten wir aus Gl. 1.

      (Gl. 4)

Es gilt.

      (Gl. 5)

Mit Hilfe von Gl. 5 erhalten wir aus Gl. 4.

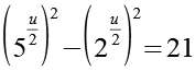
      (Gl. 6)

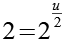
Den Exponent substituieren wir mit u.

      (Gl. 7)

Wir setzen Gl. 7 in Gl. 6 ein.

      (Gl. 8)

Wir fügen zusätzlich den Exponenten 1 ein.

      (Gl. 9)

Die 1 ersetzen wir durch folgendes Konstrukt.

      (Gl. 10)

Wir setzen Gl. 10 in Gl. 9 ein.

      (Gl. 11)

Es gilt.

      (Gl. 5)

Mit Hilfe von Gl. 5 erhalten wir aus Gl. 11.

      (Gl. 12)

Wir substituieren mit x und y.

      (Gl. 13)       (Gl. 14)       (Gl. 15)

Wir setzen Gl. 13 und Gl. 14 in Gl. 12 ein.

      (Gl. 16)

Es gilt.

      (Gl. 17)

Mit Hilfe von Gl. 17 erhalten wir aus Gl. 16.

      (Gl. 18)

Da auch x und y positive ganze Zahlen sind gilt.

      (Gl. 19)

Es gibt 4 verschiedene Möglichkeiten die 21 als Produkt zweier positiver ganzer Zahlen darzustellen.

      (Gl. 20)

      (Gl. 21)

      (Gl. 22)

      (Gl. 23)

Nach Gl. 19 kommen nur 21*1 und 7*3 als Lösung in Frage. Wir berechnen x und y und prüfen das Ergebnis auf Plausibilität.

      (Gl. 24)       (Gl. 32)
      (Gl. 25)       (Gl. 33)
      (Gl. 26)       (Gl. 34)
      (Gl. 27)       (Gl. 35)
      (Gl. 28)       (Gl. 36)
      (Gl. 29)       (Gl. 37)
      (Gl. 30)       (Gl. 38)
      (Gl. 31)       (Gl. 39)

Wie man leicht sehen kann führt nur die zweite Variante (7*3) zu einer sinnvollen Lösung für u.

      (Gl. 40)

Wir setzen Gl. 40 in Gl. 38 und Gl. 39 ein.

      (Gl. 41)       (Gl. 42)

Wir setzen Gl. 40 in Gl. 7 ein.

      (Gl. 43)

Beide Seiten multiplizieren wir mit 2.

      (Gl. 44)

Auf beiden Seiten ziehen wir die Wurzel und erhalten die Lösung für Gl. 1.

      (Gl. 45)


Kontrolle

Zur Kontrolle setzen wir Gl. 45 in Gl. 1 ein.

      (Gl. 46)

      (Gl. 47)

      (Gl. 48)

      (Gl. 49)

      (Gl. 50)

      (Gl. 51)


Anhang

      (Gl. 1)

Die Aufgabe läßt sich natürlich auch durch einfaches Probieren lösen.

t
1    
2    
3    
4    
5    
6    
7    
8    
9    
10    
11    
12    
13    
14    
15    
16    
17    
18    
19    
20    
0,8219    
1,4881    
2,2076    
3     
3,8755    
4,8418    
5,9055    
7,0734    
8,3519    
9,7479    
11,2684    
12,9205    
14,7117    
16,6499    
18,7432    
21    
23,4291    
26,0397    
28,8412    
31,8437    


[zurück] [Inhaltsverzeichnis] [vor]