| [zurück] | Aufgabe 51 |
[vor] |
![]()
(Gl. 1)
Beide Seiten werden mit (x+1) multipliziert.
![]()
(Gl. 2)
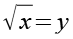
Die Wurzel substituieren wir mit y.
![]()
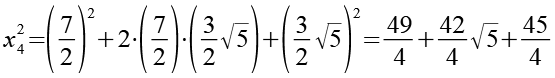
(Gl. 3)
Aus Gl. 3 ergibt sich.
![]()
(Gl. 4)
Gl. 3 und Gl. 4 setzen wir in Gl. 2 ein.
![]()
(Gl. 5)
Gl. 5 stellen wir ein bischen um.
![]()
(Gl. 6)
Beide Seiten teilen wir durch y2.
![]()
(Gl. 7)
Gl. 7 stellen wir ein bischen um.
![]()
(Gl. 8)
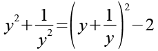
Es gilt.
![]()
(Gl. 9)
a und b drücken wir durch y aus.
![]()
(Gl. 10)
![]()
(Gl. 11)
Mit Hilfe von Gl. 10 und Gl. 11 erhalten wir aus Gl. 9.
![]()
(Gl. 12)
Auf der rechten Seite können wir einmal y kürzen.
![]()
(Gl. 13)
Gl. 13 setzen wir in Gl. 8 ein.
![]()
(Gl. 14)
Gl. 14 stellen wir ein bischen um.
![]()
(Gl. 15)
Wir substituieren die Klammer durch t.
![]()
(Gl. 16)
Gl. 16 setzen wir in Gl. 15 ein.
![]()
(Gl. 17)
Für die Lösung der quadratischen Gleichung gilt.
![]()
(Gl. 18)
![]()
(Gl. 19)
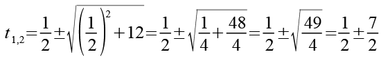
Für die Lösung von Gl. 17 erhalten wir.
![]()
(Gl. 20)
Die beiden Lösungen von Gl. 17.
![]()
(Gl. 21)
![]()
(Gl. 22)
Aus t müssen wir y berechnen. Zuerst setzten wir t1 in Gl. 16 ein.
![]()
(Gl. 23)
Beide Seiten multiplizieren wir mit y.
![]()
(Gl. 24)
Auf beiden Seiten subtrahieren wir 4y.
![]()
(Gl. 25)
Für die Lösung der quadratischen Gleichung erhalten wir.
![]()
(Gl. 26)
Die beiden Lösungen von Gl. 25.
![]()
(Gl. 27)
![]()
(Gl. 28)
Jetzt setzten wir t2 in Gl. 16 ein.
![]()
(Gl. 29)
Beide Seiten multiplizieren wir mit y.
![]()
(Gl. 29a)
Auf beiden Seiten subtrahieren wir -3y.
![]()
(Gl. 30)
Für die Lösung der quadratischen Gleichung erhalten wir.
![]()
(Gl. 31)
Die beiden Lösungen von Gl. 30.
![]()
(Gl. 32)
![]()
(Gl. 33)
Insgesamt haben wir jetzt 4 Lösungen für y.
![]()
(Gl. 27)
![]()
(Gl. 28)
![]()
(Gl. 32)
![]()
(Gl. 33)
Jetzt müssen wir aus y wieder x berechnen, es gilt.
![]()
(Gl. 4)
Gl. 27 setzen wir in Gl. 4 ein.
![]()
(Gl. 34)
Es gilt.
![]()
(Gl. 35)
Mit Hilfe von Gl. 35 erhalten wir für x1.
![]()
(Gl. 36)
![]()
(Gl. 37)
Gl. 28 setzen wir in Gl. 4 ein.
![]()
(Gl. 38)
Es gilt.
![]()
(Gl. 39)
Mit Hilfe von Gl. 39 erhalten wir für x2.
![]()
(Gl. 40)
![]()
(Gl. 41)
Gl. 32 setzen wir in Gl. 4 ein.
![]()
(Gl. 42)
Mit Hilfe von Gl. 35 erhalten wir für x3.
![]()
(Gl. 43)
![]()
(Gl. 44)
Gl. 33 setzen wir in Gl. 4 ein.
![]()
(Gl. 45)
Mit Hilfe von Gl. 39 erhalten wir für x4.
![]()
(Gl. 46)
![]()
(Gl. 47)
Alle 4 Lösungen für Gl. 1 mit den Zahlenwerten.
![]()
(Gl. 48)
![]()
(Gl. 49)
![]()
(Gl. 50)
![]()
(Gl. 51)
Anhang 1
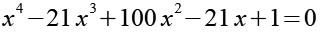
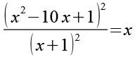
Gl. 1 können wir auch einfach quadrieren und dann ausmultiplizieren, da führt zu einem Polynom 4. Grades.
![]()
(Gl. 1)
Beide Seiten werden quadriert.
![]()
(Gl. 52)
![]()
(Gl. 53)
Zähler und Nenner berechnen wir separat.
![]()
(Gl. 54)
![]()
(Gl. 55)
![]()
(Gl. 56)
![]()
(Gl. 57)
Gl. 56 und Gl. 57 setzen wir in Gl. 53 ein.
![]()
(Gl. 58)
Beide Seiten multiplizieren wir mit (x2+2x+1).
![]()
(Gl. 59)
![]()
(Gl. 60)
![]()
(Gl. 61)
Gl. 61 ist zumindest theoretisch lösbar.
Anhang 2
Wir können Gl. 61 benutzen um die Lösungen x1 bis x4 zu überprüfen.
![]()
(Gl. 61)
Fangen wir mit x1 an. Zur besseren Übersicht berechnen wir die Potenzen von x1 separat.
![]()
(Gl. 37)
x12
![]()
(Gl. 62)
![]()
(Gl. 63)
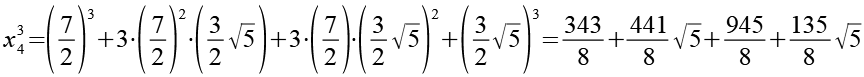
x13
Es gilt.
![]()
(Gl. 64)
![]()
(Gl. 65)
![]()
(Gl. 66)
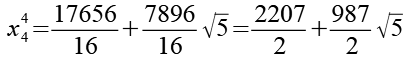
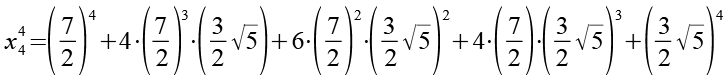
x14
Es gilt.
![]()
(Gl. 67)
![]()
(Gl. 68)
![]()
(Gl. 69)
![]()
(Gl. 70)
Jetzt setzen wir Gl. 70, Gl. 66, Gl. 63 und Gl. 37 in Gl. 61 ein.
![]()
(Gl. 71)
![]()
(Gl. 72)
![]()
(Gl. 73)
![]()
(Gl. 74)
Das Ergebnis ist Null, wie es sein soll.
![]()
(Gl. 75)
Machen wir mit x2 weiter.
![]()
(Gl. 41)
x22
![]()
(Gl. 76)
![]()
(Gl. 77)
x23
Es gilt.
![]()
(Gl. 78)
![]()
(Gl. 79)
![]()
(Gl. 80)
x24
Es gilt.
![]()
(Gl. 81)
![]()
(Gl. 82)
![]()
(Gl. 83)
![]()
(Gl. 84)
Jetzt setzen wir Gl. 84, Gl. 80, Gl. 77 und Gl. 41 in Gl. 61 ein.
![]()
(Gl. 85)
![]()
(Gl. 86)
![]()
(Gl. 87)
![]()
(Gl. 88)
Das Ergebnis ist Null, wie es sein soll.
![]()
(Gl. 89)
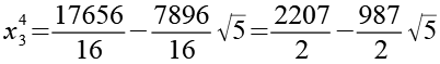
Machen wir mit x3 weiter.
![]()
(Gl. 44)
x32
![]()
(Gl. 90)
![]()
(Gl. 91)
x33
![]()
(Gl. 92)
![]()
(Gl. 93)
x34
![]()
(Gl. 94)
![]()
(Gl. 95)
![]()
(Gl. 96)
Jetzt setzen wir Gl. 96, Gl. 93, Gl. 91 und Gl. 44 in Gl. 61 ein.
![]()
(Gl. 97)
![]()
(Gl. 98)
![]()
(Gl. 99)
![]()
(Gl. 100)
![]()
(Gl. 101)
![]()
(Gl. 102)
Das Ergebnis ist Null, wie es sein soll.
![]()
(Gl. 103)
Machen wir mit x4 weiter.
![]()
(Gl. 47)
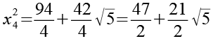
x42
![]()
(Gl. 104)
![]()
(Gl. 105)
x43
![]()
(Gl. 106)
![]()
(Gl. 107)
x44
![]()
(Gl. 108)
![]()
(Gl. 109)
![]()
(Gl. 110)
Jetzt setzen wir Gl. 110, Gl. 107, Gl. 105 und Gl. 47 in Gl. 61 ein.
![]()
(Gl. 111)
![]()
(Gl. 112)
![]()
(Gl. 113)
![]()
(Gl. 114)
![]()
(Gl. 115)
![]()
(Gl. 116)
Das Ergebnis ist Null, wie es sein soll.
![]()
(Gl. 117)
Anhang 3
![]()
(Gl. 58)
Auch wenn es keinen Sinn macht könnte man den Zähler durch den Nenner teilen.
![]()

Die Division geht natürlich nicht auf, der Rest ist -288x-144.
![]()

| [zurück] | [Inhaltsverzeichnis] | [vor] |