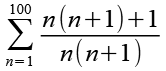
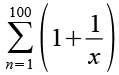
| [zurück] | Aufgabe 78 |
[vor] |
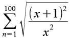
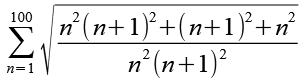
![]()
(Gl. 1)
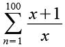
Die Brüche unter der Wurzel bringen wir auf einen Hauptnenner.
![]()
(Gl. 2)
Einen Teil den Zählers substituieren wir durch x2.
![]()
(Gl. 3)
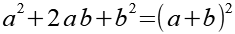
Es gilt.
![]()
(Gl. 4)
Mit Hilfe von Gl. 4 erhalten wir aus Gl. 3.
![]()
(Gl. 5)
Auf beiden Seiten ziehen wir die Wurzel.
![]()
(Gl. 6)
Betrachten wir den rechten Teil des Zählers in Gl. 2.
![]()
(Gl. 7)
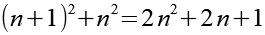
Es gilt.
![]()
(Gl. 8)
Mit Hilfe von Gl. 8 erhalten wir aus Gl. 7.
![]()
(Gl. 9)
Wir sortieren die rechte Seite von Gl. 9.
![]()
(Gl. 10)
Auf der rechten Seite können wir einmal 2n ausklammern.
![]()
(Gl. 11)
Auf der rechten Seite setzen wir Gl. 6 ein.
![]()
(Gl. 12)
Wir setzen Gl. 3 und Gl. 12 in Gl. 2 ein.
![]()
(Gl. 13)
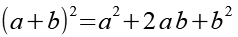
Es gilt.
![]()
(Gl. 14)
Mit Hilfe von Gl. 14 erhalten wir aus Gl. 13.
![]()
(Gl. 15)
Es gilt.
![]()
(Gl. 16)
Mit Hilfe von Gl. 16 erhalten wir aus Gl. 15.
![]()
(Gl. 17)
Wurzel und Quadrat heben sich auf.
![]()
(Gl. 18)
Es gilt.
![]()
(Gl. 19)
Mit Hilfe von Gl. 19 erhalten wir aus Gl. 18.
![]()
(Gl. 20)
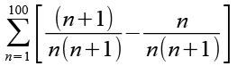
Wir können einmal x kürzen.
![]()
(Gl. 21)
Es gilt.
![]()
(Gl. 22)
Mit Hilfe von Gl. 22 erhalten wir aus Gl. 21.
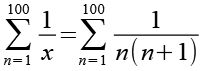
![]()
(Gl. 23)
Das Ergebnis der ersten Summenfunktion ist trivial.
![]()
(Gl. 24)
In die zweite Summenfunktion setzen wir Gl. 6 ein.
![]()
(Gl. 25)
Zum Zähler addieren und subtrahieren wir einmal n.
![]()
(Gl. 26)
Den Zähler ordnen wir anders an.
![]()
(Gl. 27)
Es gilt.
![]()
(Gl. 19)
Mit Hilfe von Gl. 19 erhalten wir aus Gl. 27.
![]()
(Gl. 28)
Wir können einmal (n+1) und einmal n kürzen.
![]()
(Gl. 29)
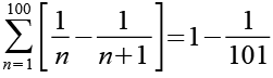
Wir berechnen die ersten und letzten Glieder der Reihe.
![]()
(Gl. 30)
![]()
(Gl. 31)
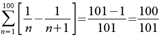
Bis auf das erste und das letzte Glied heben sich benachbarte Glieder auf.
![]()
(Gl. 32)
Wir bringen die Brüche auf einen Hauptnenner.
![]()
(Gl. 33)
Wir setzen Gl. 24 und Gl. 33 in Gl. 23 ein.
![]()
(Gl. 34)
![]()
(Gl. 35)
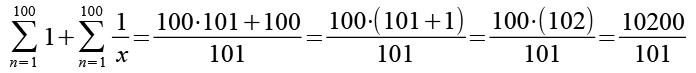
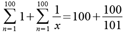
Das Ergebnis.
![]()
(Gl. 36)
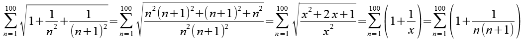
Die wichtigsten Schritte der Berechnung in einer Übersicht.
![]()
(Gl. 37)
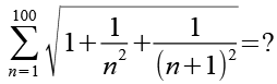
Anhang 1
![]()
(Gl. 1)
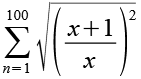
Wir betrachten die Summe der einzelnen Glieder der Summenfunktion.
| n | Summe |
|
1 2 3 4 5 6 7 8 9 10 11 12 13 14 15 16 17 18 19 20 21 22 23 24 25 26 27 28 29 30 31 32 33 34 35 36 37 38 39 40 41 42 43 44 45 46 47 48 49 50 51 52 53 54 55 56 57 58 59 60 61 62 63 64 65 66 67 68 69 70 71 72 73 74 75 76 77 78 79 80 81 82 83 84 85 86 87 88 89 90 91 92 93 94 95 96 97 98 99 100 |
1,5000000000 2,6666666667 3,7500000000 4,8000000000 5,8333333333 6,8571428571 7,8750000000 8,8888888888 9,9000000000 10,9090909091 11,9166666667 12,9230769231 13,9285714286 14,9333333333 15,9375000000 16,9411764706 17,9444444444 18,9473684211 19,9500000000 20,9523809524 21,9545454545 22,9565217391 23,9583333333 24,9600000000 25,9615384615 26,9629629630 27,9642857143 28,9655172414 29,9666666667 30,9677419355 31,9687500000 32,9696969697 33,9705882353 34,9714285714 35,9722222222 36,9729729730 37,9736842105 38,9743589744 39,9750000000 40,9756097561 41,9761904762 42,9767441860 43,9772727273 44,9777777778 45,9782608696 46,9787234043 47,9791666667 48,9795918367 49,9800000000 50,9803921569 51,9807692308 52,9811320755 53,9814814815 54,9818181818 55,9821428571 56,9824561404 57,9827586207 58,9830508475 59,9833333333 60,9836065574 61,9838709677 62,9841269841 63,9843750000 64,9846153846 65,9848484848 66,9850746269 67,9852941176 68,9855072464 69,9857142857 70,9859154930 71,9861111111 72,9863013699 73,9864864865 74,9866666667 75,9868421053 76,9870129870 77,9871794872 78,9873417722 79,9875000000 80,9876543210 81,9878048780 82,9879518072 83,9880952381 84,9882352941 85,9883720930 86,9885057471 87,9886363636 88,9887640449 89,9888888889 90,9890109890 91,9891304348 92,9892473118 93,9893617021 94,9894736842 95,9895833333 96,9896907216 97,9897959184 98,9898989899 99,9900000000 100,9900990100 |
Anhang 2
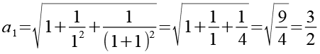
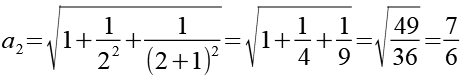
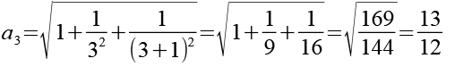
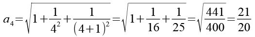
Ich habe darauf verzichtet die 100 Glieder manuell zu addieren und es bei den ersten 10 belassen.
![]()

![]()

![]()

![]()

Wir können uns die Berechnung etwas vereinfachen wenn wir Gl. 6 in Gl. 18 einsetzen.
![]()

![]()

![]()

![]()

![]()

![]()

![]()

Im zweiten Schritt addieren wir die Brüche paarweise.
![]()

![]()

![]()

![]()

![]()

![]()

![]()

![]()

| [zurück] | [Inhaltsverzeichnis] | [vor] |