[zurück]

Aufgabe 43

[vor]

Bei dieser Aufgabe geht es nicht darum eine Gleichung zu lösen sondern den Ausdruck ohne Benutzung eines Taschenrechners zu vereinfachen.

      (Gl. 1)

Wir substituieren 1/3 durch x.

      (Gl. 2)

Wir setzen Gl. 2 in Gl. 1 ein.

      (Gl. 3)

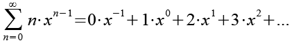
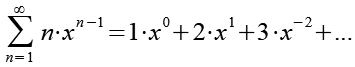
Wir betrachten die Reihenentwicklung der Potenzfunktion xn.

      (Gl. 4)

      (Gl. 5)

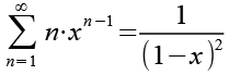
Beide Seiten von Gl. 5 werden differenziert (siehe Anhang 2 und 3).

      (Gl. 6)

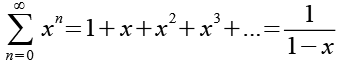
Wir betrachten die ersten Glieder der Folge.

      (Gl. 7)

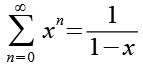
Das erste Glied für n=0 ist Null, d.h. wir können als Startwert der Summenfunktion n=1 nehmen.

      (Gl. 8)

Aus Gl. 6 ergibt sich. Die Summenfunktion hat jetzt den gleichen Startwert wie unsere Aufgabe (Gl. 1).

      (Gl. 9)

Wir machen die Substitution wieder Rückgängig.

      (Gl. 10)

Wir setzen Gl. 10 in Gl. 9 ein.

      (Gl. 11)

Das Ergebnis.

      (Gl. 12)


Anhang 1

Untersuchen wir die Konvergenz der Reihe.

n
1   
2   
3   
4   
5   
6   
7   
8   
9   
10   
11   
12   
13   
14   
15   
16   
17   
18   
19   
20   
21   
22   
23   
24   
25   
26   
27   
28   
29   
30   
    1,00000000000
    1,66666666667
    2,00000000000
    2,14814814815
    2,20987654321
    2,23456790123
    2,24417009602
    2,24782807499
    2,24919981710
    2,24970786974
    2,24989415570
    2,24996189605
    2,24998635785
    2,24999513900
    2,24999827513
    2,24999939020
    2,24999978512
    2,24999992450
    2,24999997354
    2,24999999075
    2,24999999677
    2,24999999888
    2,24999999961
    2,24999999986
    2,24999999995
    2,24999999998
    2,24999999999
    2,25000000000
    2,25000000000
    2,25000000000

Anhang 2

Für die Ableitung der Potenzfunktion gilt.

      (Gl. 13)

      (Gl. 14)


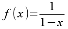
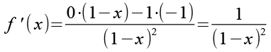
Anhang 3

      (Gl. 15)

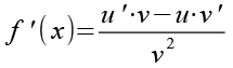
Für die Ableitung nutzen wir die Quotientenregel.

      (Gl. 16)

      (Gl. 17)

      (Gl. 18)

      (Gl. 19)

      (Gl. 20)

      (Gl. 21)

      (Gl. 22)


[zurück] [Inhaltsverzeichnis] [vor]