[zurück]

Interessante Mathe Aufgaben

[vor]

      (Gl. 1)

Die 200 ersetzen wir durch 100*2.

      (Gl. 2)

Die Wurzel aus 100 ist 10.

      (Gl. 3)

Die 2 drücken wir durch das Quadrat der Wurzel aus.

      (Gl. 4)

Gl. 4 setzen wir in Gl. 3 ein.

      (Gl. 5)

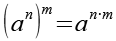
Es gilt:

      (Gl. 6)

Mit Hilfe von Gl. 6 erhalten wir aus Gl. 5.

      (Gl. 7)

Die 20 ersetzen wir durch 5*4.

      (Gl. 8)

Mit Hilfe von Gl. 6 erhalten wir aus Gl. 8.

      (Gl. 9)

Die 5. Potenz schreiben wir anders.

      (Gl. 10)

Gl. 10 setzen wir in Gl. 9 ein.

      (Gl. 11)

Beide Seiten haben den gleichen Aufbau, daraus kann man x ableiten.

      (Gl. 12)


[zurück] [Inhaltsverzeichnis] [vor]