| [zurück] | Interessante Mathe Aufgaben |
[vor] |
![]()
(Gl. 1)
Zuerst multiplizieren wir die Klammern aus.
![]()
(Gl. 2)
![]()
(Gl. 3)
Auf beiden Seiten addieren wir 5.
![]()
(Gl. 4)
Auf beiden Seiten addieren wir x + 1.
![]()
(Gl. 5)
![]()
(Gl. 6)
Auf der rechten Seite können wir 5 ausklammern und die Seiten vertauschen.
![]()
(Gl. 7)
![]()
(Gl. 8)
Auf der rechten Seite addieren wir -x2 + x2.
![]()
(Gl. 9)
Auf der rechten Seite können wir x2 ausklammern.
![]()
(Gl. 10)
Die 1 ersetzen wi durch 13.
![]()
(Gl. 11)
Es gilt:
![]()
(Gl. 12)
Mit Hilfe von Gl. 12 erhalten wir.
![]()
(Gl. 13)
Gl. 13 setzen wir in Gl. 11 ein.
![]()
(Gl. 14)
Auf der rechten Seite klammern wir x2 + x + 1 aus.
![]()
(Gl. 15)
Auf der rechten Seite multipliziern wir x2(x - 1) aus.
![]()
(Gl. 16)
Auf beiden Seiten subtrahieren wir 5(x2 + x + 1).
![]()
(Gl. 17)
Die eckige Klammer können wir vereinfachen.
![]()
(Gl. 18)
![]()
(Gl. 19)
Wir erhalten das Produkt zweier Polynome die wir separat gleich Null setzten können.
![]()
(Gl. 20)
![]()
(Gl. 21)
![]()
(Gl. 28)
Fangen wir mit Gl. 21 an, einer quadratischen Gleichung.
![]()
(Gl. 21)
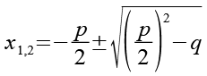
Es gilt:
![]()
(Gl. 22)
![]()
(Gl. 23)
Die Lösung ist trivial, mit Hilfe von Gl. 23 erhalten wir.
![]()
(Gl. 24)
Als Lösung von Gl. 20 erhalten wir zwei konjugiert komplexe Zahlen (x1 und x2).
![]()
(Gl. 25)
![]()
(Gl. 26)
![]()
(Gl. 27)
Jetzt machen wir mit Gl. 28 weiter.
![]()
(Gl. 28)
Für die -4 in Gleichung 28 können wir auch schreiben.
![]()
(Gl. 29)
Gl. 29 setzten wir in Gl. 28 ein.
![]()
(Gl. 30)
Die 8 und die 4 drücken wir durch Potenzen von 2 aus.
![]()
(Gl. 31)
![]()
(Gl. 32)
Es gilt:
![]()
(Gl. 33)
![]()
(Gl. 34)
Mit Hilfe von Gl. 33 erhalten wir.
![]()
(Gl. 35)
Mit Hilfe von Gl. 34 erhalten wir.
![]()
(Gl. 36)
Gl. 35 und Gl. 36 setzen wir in Gl. 32 ein.
![]()
(Gl. 37)
In Gl. 37 können wir (x - 2) ausklammern.
![]()
(Gl. 38)
Die eckige Klammer können wir vereinfachen.
![]()
(Gl. 39)
Wir erhalten wieder ein Produkt zweier Polynome die wir separat gleich Null setzten können.
![]()
(Gl. 40)
Fangen wir mit der linken Klammer an.
![]()
(Gl. 41)
So erhalten wir die dritte Lösung für Gl. 1.
![]()
(Gl. 42)
Machen wir mit der rechten Klammer weiter, die Lösung ist trivial, siehe Gl. 23.
![]()
(Gl. 43)
![]()
(Gl. 44)
Als Lösung von Gl. 20 erhalten wir zwei konjugiert komplexe Zahlen (x4 und x5).
![]()
(Gl. 45)
![]()
(Gl. 46)
![]()
(Gl. 47)
Gl. 1 hat 5 Lösungen, eine Reelle und 4 Komplexe.
![]()
![]()
![]()
![]()
![]()

Zur Kontrolle setzten wir die Lösung in Gl. 1 ein, fangen wir mit x3 an.
![]()
(Gl. 48)
![]()
(Gl. 49)
![]()
(Gl. 50)
Bei den komplexen Zahlen wird die Berechnung deutlich aufwändiger, wir machen mit x1 weiter und setzten sie in die rechte Seite von Gl. 1 ein.
![]()
(Gl. 50)
Für die Multiplikation komplexer Zahlen gilt:
![]()
(Gl. 51)
Mit Hilfe von Gl. 51 erhalten wir aus Gl. 50.
![]()
(Gl. 52)
Für die 5. Potenz einer komplexen Zahl gilt:
![]()
(Gl. 53)
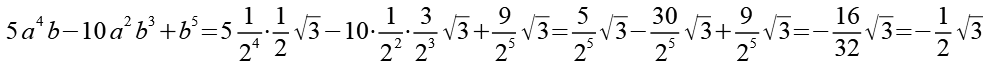
Zuerst berechnen wir x15.
![]()
(Gl. 54)
Zur besseren Übersichtlichkeit berechnen wir den rellen und komplexen Teil separat.
![]()
(Gl. 55)
![]()
(Gl. 56)
![]()
(Gl. 57)
Gl. 57 setzen wir in die linke Seite von Gl. 1 ein
![]()
(Gl. 58)
Gl. 52 und Gl. 58 zeigen das gleich Ergebnis, damit ist x1 bewiesen.
| [zurück] | [Inhaltsverzeichnis] | [vor] |