[zurück]

Aufgabe 62

[vor]

      (Gl. 1)

      (Gl. 2)

Wir ersetzen die 4, 6 und 8 durch ein Produkt.

      (Gl. 3)

Es gilt.

      (Gl. 4)

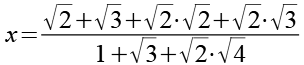
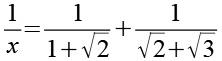
Mit Hilfe von Gl. 4 erhalten wir aus Gl. 3.

      (Gl. 5)

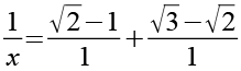
Im Zähler können wir einmal Wurzel 2 ausklammern und im Nenner einmal die Wurzel ziehen.

      (Gl. 6)

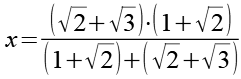
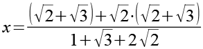
Im Zähler können wir (Wurzel 2 + Wurzel 3) ausklammern.

      (Gl. 7)

Den Nenner stellen wir etwas um.

      (Gl. 8)

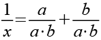
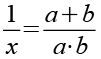
Wir substituieren a und b.

      (Gl. 9)

      (Gl. 10)

Wir setzen Gl. 9 und Gl. 10 in Gl. 8 ein.

      (Gl. 11)

Auf beiden Seiten bilden wir den Kehrwert.

      (Gl. 12)

Auf der rechten Seite trennen wir den Bruch.

      (Gl. 13)

Auf der rechten Seite können wir einmal a und einmal b kürzen.

      (Gl. 14)

Wir machen die Substitution rückgängig und setzen Gl. 9 und Gl. 10 in Gl. 14 ein.

      (Gl. 15)

Beide Brüche multiplizieren wir so dann wir den Nenner vereinfachen können.

      (Gl. 16)

Es gilt.

      (Gl. 17)

Mit Hilfe von Gl. 17 erhalten wir aus Gl. 16.

      (Gl. 18)

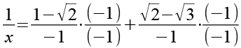
Als Nenner erhalten wir jeweils -1.

      (Gl. 19)

Zähler und Nenner multiplizieren wir mit -1 um einen positiven Nenner zu bekommen.

      (Gl. 20)

      (Gl. 21)

Der Nenner entfällt.

      (Gl. 22)

Wir vereinfachen die rechte Seite.

      (Gl. 23)

Auf beiden Seiten bilden wir den Kehrwert.

      (Gl. 24)

Den Bruch multiplizieren wir so dann wir den Nenner vereinfachen können.

      (Gl. 25)

Es gilt.

      (Gl. 17)

Mit Hilfe von Gl. 17 erhalten wir aus Gl. 25.

      (Gl. 26)

Das Ergebnis.

      (Gl. 27)


[zurück] [Inhaltsverzeichnis] [vor]