| [zurück] | Interessante Mathe Aufgaben |
[vor] |
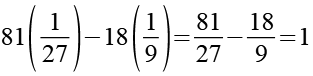
![]()
(Gl. 1)
Die 18 und die 81 ersetzen wir durch Potenzen von 3.
![]()
(Gl. 2)
![]()
(Gl. 3)
Es gilt:
![]()

![]()
(Gl. 4)
3x substituieren wir durch u.
![]()
(Gl. 5)
Gl. 5 setzten wir in Gl. 4 ein.
![]()
(Gl. 6)
![]()
(Gl. 7)
Für -1 können wir auch schreiben.
![]()
(Gl. 8)
Gl. 8 setzen wir in Gl. 7 ein.
![]()
(Gl. 9)
Gl. 9 stellen wir ein bisschen um.
![]()
(Gl. 10)
Die 3 und die 2 klammern wir aus.
![]()
(Gl. 11)
Für die 1 können wir auch 12 und 13 schreiben.
![]()
(Gl. 12)
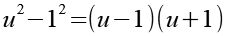
Es gilt:
![]()

![]()

Für (u2 - 12) und (u3 - 13) aus Gl. 12 erhalten wir.
![]()
(Gl. 13)
![]()
(Gl. 14)
Gl. 13 und Gl. 14 setzen wir in Gl. 12 ein.
![]()
(Gl. 15)
(u - 1) können wir ausklammern.
![]()
(Gl. 16)
Die beiden anderen Klammern multiplizieren wir aus.
![]()
(Gl. 17)
Beide Klammern können wir separat gleich Null setzen.
![]()
(Gl. 18)
Erste Klammer:
![]()
(Gl. 19)
![]()
(Gl. 20)
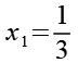
Mit Gl. 5 erhalten wir die erste Lösung für x.
![]()
(Gl. 21)
![]()
(Gl. 22)
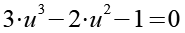
Zweite Klammer:
![]()
(Gl. 23)
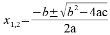
Für die Lösung der quadratischen Gleichung gilt:
![]()

![]()

Für Gl. 23 erhalten wir zwei konjugiert komplexe Zahlen als Lösung.
![]()
(Gl. 24)
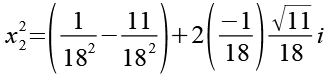
Mit Gl. 5 erhalten wir die Lösungen x2 und x3.
![]()
(Gl. 25)
![]()
(Gl. 26)
![]()
(Gl. 27)
![]()
(Gl. 28)
Für Gl. 1 gibt es drei Lösungen, eine Reelle und zwei Komplexe.
![]()
![]()
![]()

Zur Kontrolle setzten wir die Löungen in Gl. 1 ein. Fangen wir mit der rellen Lösung an und setzten Gl. 22 in Gl. 1 ein.
![]()
(Gl. 29)
![]()
(Gl. 30)
![]()
(Gl. 31)
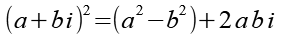
Bei den komplexen Lösungen wird es etwas komplizierter. Betrachten wir zuerst die Potenzen komplexer Zahlen, es gilt.
![]()

![]()

Bilden wir zuerst die Potenzen von x2.
![]()
(Gl. 32)
![]()
(Gl. 33)
![]()
(Gl. 34)
![]()
(Gl. 35)
![]()
(Gl. 36)
![]()
(Gl. 37)
Multiplizieren wir Gl. 37 mit 81.
![]()
(Gl. 38)
Multiplizieren wir Gl. 34 mit -18.
![]()
(Gl. 39)
Jetzt setzten wir Gl. 38 und Gl. 39 in Gl. 1 ein.
![]()
(Gl. 40)
Für die Addition komplexer Zahlen gilt.
![]()

![]()
(Gl. 41)
![]()
(Gl. 42)
![]()
(Gl. 43)
| [zurück] | [Inhaltsverzeichnis] | [vor] |