| [zurück] | Interessante Mathe Aufgaben |
[vor] |
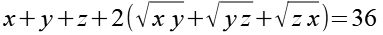
Wir haben 3 Gleichungen mit 3 Unbekannten.
![]()
(Gl. 1)
![]()
(Gl. 2)
![]()
(Gl. 3)
Gl. 1 wird quadriert.
![]()
(Gl. 4)
Es gilt:
![]()
(Gl. 5)
Mit Hilfe von Gl. 5 erhalten wir aus Gl. 4.
![]()
(Gl. 6)
Gl. 2 setzen wir in Gl. 6 ein.
![]()
(Gl. 7)
Auf beiden Seiten subtrahieren wir 98.
![]()
(Gl. 8)
Beide Seiten teilen wir durch 2.
![]()
(Gl. 9)
Im nächsten Schritt quadrieren wir Gl. 3.
![]()
(Gl. 10)
Mit Hilfe von Gl. 5 erhalten wir aus Gl. 10.
![]()
(Gl. 11)
Es gilt:
![]()
(Gl. 12)
Wurzel und Quadrat heben sich auf, mit Hilfe von Gl. 12 erhalten wir aus Gl. 11.
![]()
(Gl. 13)
Gl. 1 setzen wir in Gl. 13 ein.
![]()
(Gl. 14)
Auf beiden Seiten subtrahieren wir 14.
![]()
(Gl. 15)
Beide Seiten teilen wir durch 2.
![]()
(Gl. 16)
Gl. 16 wird quadriert.
![]()
(Gl. 17)
Mit Hilfe von Gl. 5 erhalten wir aus Gl. 17.
![]()
(Gl. 18)
Wurzel und Quadrat heben sich auf.
![]()
(Gl. 19)
Eine Wurzel können wir ausklammern.
![]()
(Gl. 20)
Gl. 9 und Gl. 3 setzen wir in Gl. 20 ein.
![]()
(Gl. 21)
Auf beiden Seiten subtrahieren wir 49.
![]()
(Gl. 22)
Beide Seiten teilen wir durch 12.
![]()
(Gl. 23)
Beide Seiten werden quadriert.
![]()
(Gl. 24)
Wurzel und Quadrat heben sich auf.
![]()
(Gl. 25)
Mit Gl. 25, Gl. 1 und Gl. 9 erhalten wir wieder ein System aus 3 Gleichungen mit 3 Unbekannten.
![]()
![]()
![]()
)
Wir betrachten x, y und z als Lösung einer Kubischen Gleichung.
![]()
(Gl. 26)
Nach Ausmultiplizieren der Klammern erhalten wir.
![]()
(Gl. 27)
![]()
(Gl. 28)
![]()
(Gl. 29)
Gl. 25, Gl. 1 und Gl. 9 setzen wir in Gl. 29 ein.
![]()
(Gl. 30)
Aufgrund der Koeffizienten können wir die erste Lösung raten.
![]()
(Gl. 31)
Zur Kontrolle setzen wir Gl. 31 in Gl. 30 ein.
![]()
(Gl. 32)
Gl. 30 teilen wir durch Lösung 1.
![]()
(Gl. 33)
![]()
(Gl. 34)
Wir erhalten eine quadratische Gleichung.
![]()
(Gl. 35)
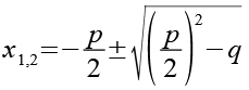
Für die Lösung einer quadratische Gleichung gilt:
![]()
(Gl. 36)
![]()
(Gl. 37)
Mit Hilfe von Gl. 37 erhalten wir die 2 Lösungen der quadratische Gleichung.
![]()
(Gl. 38)
![]()
(Gl. 39)
![]()
(Gl. 40)
![]()
(Gl. 41)
Für die Lösung von Gl. 1-3 erhalten wir 6 Permutationen.
![]()
(Gl. 42)
Zur Kontrolle setzen wir die Lösung x = 1, y = 4 und z = 9 in Gl.1-3 ein.
![]()
![]()
![]()

Das gilt natürlich auch für das zweite Gleichungssystem (Gl. 25, Gl. 1 und Gl. 9).
![]()
![]()
![]()

Anhang
Alternative Löung der quadratischen Gleichung 35 ohne p,q Formel (Gl. 37).
![]()
(Gl. 35)
Die -13 ersetzen wir durch -4-9.
![]()
(Gl. 43)
In Gl. 43 können wir einmal t und einmal -9 ausklammern.
![]()
(Gl. 44)
In Gl. 44 können wir (t - 4) ausklammern. So erhalten wir ebenfalls die Lösungen 4 und 9.
![]()
(Gl. 45)
Alternativer Lösungsansatz für die Gleichungen 1 bis 3. Betrachten wir Gl. 3.
![]()
(Gl. 3)
Die Summe der drei Wurzeln ist eine ganze Zahl, daraus folgt das auch die Wurzeln von x, y und z ganze Zahlen sein müssen. Das ist der Fall wenn x, y und z ebenfalls ganze Zahlen sind (0, 1, 4, 9, 16, 25, ...).
Setzen wir verschiedene Kombinationn in Gl. 3 ein.
![]()
(Gl. 46)
![]()
(Gl. 47)
![]()
(Gl. 48)
Gl. 46 widerspricht Gl.3 und kommt als Lösung nicht in Frage. Gl. 48 erfüllt zwar Gl. 3 aber x = y = z = 4 widerspricht Gl. 1. Die korrekte Lösung zeigt Gl. 47.
| [zurück] | [Inhaltsverzeichnis] | [vor] |