[zurück]

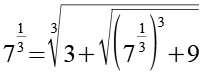
Aufgabe 52

[vor]

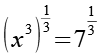
      (Gl. 1)

Beide Seiten werden mit 1/3 potenziert.

      (Gl. 2)

Auf der rechten Seite heben sich Potenz und Wurzel gegenseitig auf.

      (Gl. 3)

Auf beiden Seiten wir 3 subtrahiert.

      (Gl. 4)

Beide Seiten werden quadriert.

      (Gl. 5)

Auf der rechten Seite heben sich Potenz und Wurzel gegenseitig auf.

      (Gl. 6)

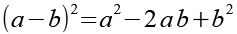
Es gilt.

      (Gl. 7)

Mit Hilfe von Gl. 7 erhalten wir aus Gl. 6.

      (Gl. 8)

Auf beiden Seiten subtrahieren wir 9.

      (Gl. 9)

Auf beiden Seiten subtrahieren wir x3.

      (Gl. 10)

Wir können x3 ausklammern und beide Teile getrennt gleich Null setzen.

      (Gl. 11)

Wir fangen mit x3 an.

      (Gl. 12)

Die erste Lösung.

      (Gl. 13)

Wir setzen den zweiten Teil von Gl. 11 gleich Null.

      (Gl. 14)

Auf beiden Seiten addieren wir 7.

      (Gl. 15)

Beide Seiten werden mit 1/3 potenziert.

      (Gl. 16)

Auf der linken Seite heben sich die Potenzen auf.

      (Gl. 17)

Die zweite Lösung.

      (Gl. 18)


Zur Kontrolle setzen wir x1 in Gl. 1 ein.

      (Gl. 13)

      (Gl. 19)

      (Gl. 20)

      (Gl. 21)

      (Gl. 22)

      (Gl. 23)

      (Gl. 24)

Zur Kontrolle setzen wir x2 in Gl. 1 ein.

      (Gl. 18)

      (Gl. 25)

      (Gl. 26)

      (Gl. 27)

      (Gl. 28)

      (Gl. 29)

Es gilt.

      (Gl. 30)

      (Gl. 31)


[zurück] [Inhaltsverzeichnis] [vor]