[zurück]

Aufgabe 70

[vor]

      (Gl. 1)

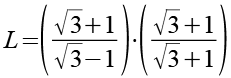
Die Lösung der Aufgabe bezeichnen wir mit L.

      (Gl. 2)

Die 45 ersetzen wir durch 3*15.

      (Gl. 3)

Es gilt.

      (Gl. 4)

Mit Hilfe von Gl. 4 werhalten wir aus Gl. 3.

      (Gl. 5)

Wir können Wurzel(15) ausklammern.

      (Gl. 6)

Wir können Wurzel(15) kürzen.

      (Gl. 7)

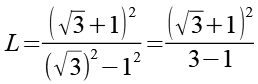
Um den Nenner vereinfachen zu können multiplizieren wir Zähler und Nenner mit (Wurzel(3)+1).

      (Gl. 8)

Es gilt.

      (Gl. 9)

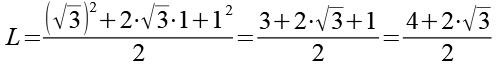
Mit Hilfe von Gl. 9 werhalten wir aus Gl. 8.

      (Gl. 10)

Es gilt.

      (Gl. 11)

Mit Hilfe von Gl. 11 werhalten wir aus Gl. 10.

      (Gl. 12)

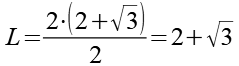
Im Zähler können wir die 2 ausklammern und kürzen.

      (Gl. 13)

Das Ergebnis.

      (Gl. 14)


[zurück] [Inhaltsverzeichnis] [vor]