| [zurück] | Interessante Mathe Aufgaben |
[vor] |
![]()
(Gl. 1)
Vor dem Ausmultilplizieren stellen wir die Klammern etwas um.
![]()
(Gl. 1a)
![]()
(Gl. 2)
![]()
(Gl. 3)
In der zweiten Klammer ertsetzen wir die 6 durch 4 + 2.
![]()
(Gl. 4)
Wir substituieren x2+ 5a + 4 durch u.
![]()
(Gl. 5)
Gl. 5 setzen wir in Gl. 4 ein.
![]()
(Gl. 6)
![]()
(Gl. 7)
Wir erhalten eine quadratische Gleichung, zu einem alternativen Lösungsweg siehe Anhang.
![]()
(Gl. 8)
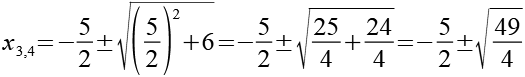
Für die quadratische Gleichung gilt:
![]()
(Gl. 9)
![]()
(Gl. 10)
![]()
(Gl. 11)
Für u erhalten wir zwei Lösungen.
![]()
(Gl. 12)
![]()
(Gl. 13)
u1 setzen wir in Gl. 5 ein.
![]()
(Gl. 14)
Wir erhalten wieder eine quadratische Gleichung.
![]()
(Gl. 15)
![]()
(Gl. 16)
![]()
(Gl. 17)
![]()
(Gl. 18)
![]()
(Gl. 19)
In zweiten Schritt setzen wir u2 setzen wir in Gl. 5 ein.
![]()
(Gl. 20)
![]()
(Gl. 21)
![]()
(Gl. 22)
![]()
(Gl. 23)
![]()
(Gl. 24)
![]()
(Gl. 25)
Jetzt haben wir alle 4 Lösungen von Gl. 1, zwei Reelle und zwei Komplexe.
![]()
![]()
![]()
![]()

Zur Kontrolle setzen wir die Lösungen in Gl. 1 ein, fangen wir mit den reellen Lösungen an.
![]()

![]()
(Gl. 26)
![]()

![]()
(Gl. 27)
![]()

![]()
(Gl. 28)
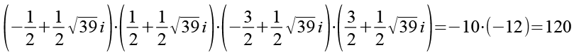
Vor dem Ausmultilplizieren stellen wir die Klammern etwas um.
![]()
(Gl. 29)
Für die Multiplikation komplexer Zahlen gilt:
![]()
(Gl. 30)
![]()
(Gl. 31)
![]()
(Gl. 32)
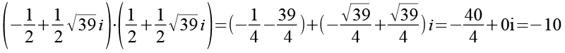
Gl. 31 und Gl. 32 setzen wir in Gl. 29 ein.
![]()
(Gl. 33)
Als Ergebnbis erhalten wir wieder 120.
Anhang 1
Alternativer Lösungsweg für Gl. 8, die 2 ersetzen wir durch -10+12 und die -120 durch -10*12.
![]()
(Gl. 8)
![]()
(Gl. 34)
![]()
(Gl. 35)
Gl. 34 und Gl. 35 setzen wir in Gl. 8 ein.
![]()
(Gl. 36)
Wir multiplizieren die Klammer aus und stellen die Gleichung etwas um.
![]()
(Gl. 37)
![]()
(Gl. 38)
Jetzt können wir einmal u und einmal -10 ausklammern.
![]()
(Gl. 39)
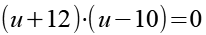
Jetzt können wir (u + 12) ausklammern.
![]()
(Gl. 40)
Beide Klammern setzten wir gleich Null und erhalten die beiden Lösungen der quadratischen Gleichung 8.
![]()
(Gl. 12)
![]()
(Gl. 13)
Anhang 2
Gl. 1 könnte man natürlich auch komplett ausmultiplizieren, das führt zu einem Polynom 4. Grades
![]()
(Gl. 41)
![]()
(Gl. 42)
![]()
(Gl. 43)
![]()
(Gl. 44)
Gl. 44 ist lösbar aber dieser Weg ist deutlich komplizierter.
| [zurück] | [Inhaltsverzeichnis] | [vor] |