| [zurück] | Interessante Mathe Aufgaben |
[vor] |
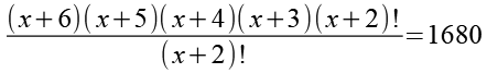
![]()
(Gl. 1)
Die Fakultät n! ist wie folgt definiert.
![]()
(Gl. 2)
Die Fakltät kann auch rekursiv dargestellt werden.
![]()
(Gl. 3)
Mit Hilfe von Gl. 3 können wir Gl. 1 anders darstellen.
![]()
(Gl. 4)
In Gl. 4 können wir (x + 2)! kürzen.
![]()
(Gl. 5)
Wir ändern die Reihenfolge der Klammern.
![]()
(Gl. 6)
Die Klammern werden paarweise ausmultipliziert.
![]()
(Gl. 7)
![]()
(Gl. 8)
In Gl. 8 ersetzen wir die 18 durch 19-1 und die 20 durch 19+1.
![]()
(Gl. 9)
Wir substituieren x2 + 9x + 19 durch u.
![]()
(Gl. 10)
Wir setzen Gl. 10 in Gl. 9 ein.
![]()
(Gl. 11)
Es gilt:
![]()
(Gl. 12)
Mit Hilfe von Gl. 12 erhalten wir aus Gl. 11.
![]()
(Gl. 13)
Auf beiden Seiten addieren wir 1.
![]()
(Gl. 14)
Auf beiden Seiten ziehen wir die Wurzel.
![]()
(Gl. 15)
Für u erhalten wir.
![]()
(Gl. 16)
Gl. 16 setzen wir in Gl. 10 ein.
![]()
(Gl. 17)
Fangen wir mit +41 an.
![]()
(Gl. 18)
Auf beiden Seiten subtrahieren wir 41.
![]()
(Gl. 19)
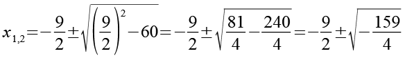
Wir erhalten folgende quadratische Gleichung.
![]()
(Gl. 20)
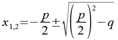
Für die Lösung der quadratischen Gleichung gilt.
![]()
(Gl. 21)
![]()
(Gl. 22)
Für die Lösung von Gl. 20 erhalten wir.
![]()
(Gl. 23)
![]()
(Gl. 24)
![]()
(Gl. 25)
Die zweite Variante von Gl. 17.
![]()
(Gl. 26)
Auf beiden Seiten addieren wir 41.
![]()
(Gl. 27)
Für die Lösung von Gl. 27 erhalten wir.
![]()
(Gl. 28)
![]()
(Gl. 29)
Die Lösung von Gl. 27 sind zwei konjugiert komplexe Zahlen.
![]()
(Gl. 30)
![]()
(Gl. 31)
Für Gl. 5 gibt es 4 Lösungen.
![]()
![]()
![]()
![]()

Kontrolle
Von den 4 Lösungen ist nur x2 = 2 eine Lösung für Gl. 1. Wir setzen x2 = 2 in Gl. 1 ein.
![]()
(Gl. 32)
Aus Gl. 32 erhalten wir.
![]()
(Gl. 33)
Analog zu Gl. 4 erhalten wir.
![]()
(Gl. 34)
Wir können 4! kürzen.
![]()
(Gl. 35)
![]()
(Gl. 36)
Wir setzen auch x1 = -11 in Gl. 5 ein, für Gl. 1 ist es natürlich keine Lösung.
![]()
(Gl. 37)
![]()
(Gl. 38)
![]()
(Gl. 39)
![]()
(Gl. 36)
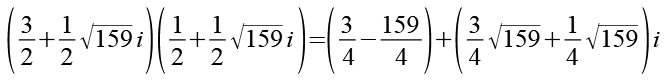
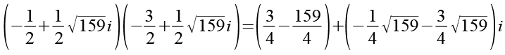
Der Vollständigkeit halber setzen wir auch dir beiden komplexen Löungen x3 und x4 in Gl. 5 ein, fangen wir mir x3 an.
![]()
(Gl. 30)
![]()
(Gl. 40)
Für die Multiplikation komplexer Zahlen gilt.
![]()
(Gl. 41)
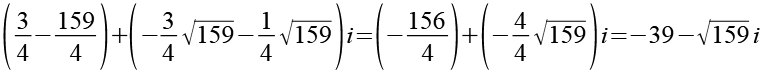
![]()
(Gl. 42)
![]()
(Gl. 43)
![]()
(Gl. 44)
![]()
(Gl. 45)
Zum Schluß multiplizieren wir das Ergebnis aus Gl. 43 und Gl. 45 und erhalten 1680.
![]()
(Gl. 46)
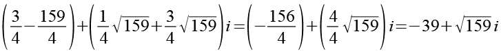
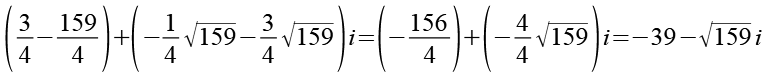
Die gleiche Rechnung für x4.
![]()
(Gl. 31)
![]()
(Gl. 47)
![]()
(Gl. 48)
![]()
(Gl. 49)
![]()
(Gl. 50)
![]()
(Gl. 51)
Zum Schluß multiplizieren wir das Ergebnis aus Gl. 49 und Gl. 51 und erhalten wieder 1680.
![]()
(Gl. 52)
Anhang 1
Ein ganz anderer Lösungsansatz, bilden wir von 1680 die Primfaktorzerlegung.
![]()
(Gl. 53)
2*3=6 und 2*2*2=8.
![]()
(Gl. 54)
Wir setzen Gl. 54 in Gl. 5 ein.
![]()
(Gl. 55)
Aus Gl. 55 ist offensichtlich dass die Lösung x = 2 sein muss.
![]()
(Gl. 56)
![]()
(Gl. 57)
Anhang 2
Zum Vergleich verzichten wir auf die Umstellung von Gl. 5 (Gl. 6) und machen direkt mit Gl. 5 weiter.
![]()
(Gl. 58)
Wir multiplizieren die Klammern aus.
![]()
(Gl. 59)
Wir erhalten einmal 11 x und einmal 7 x, es gibt jetzt keine Möglichkeit wie bei Gl. 8 etwas auszuklammern.
![]()
(Gl. 60)
Wir multiplizieren die Klammern aus.
![]()
(Gl. 61)
![]()
(Gl. 62)
Wir erhalten ein Polynom 4. Grades.
![]()
(Gl. 63)
| [zurück] | [Inhaltsverzeichnis] | [vor] |