| [zurück] | 12. Vollkommenen Zahlen, Befreundete Zahlen, Narzisstische Zahlen |
[vor] |
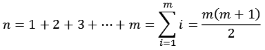
Eine natürliche Zahl n ist dann eine vollkommene Zahl, wenn sie gleich der Summe aller ihrer (positiven) Teiler außer sich selbst ist. Es gilt:
![]()

Wenn Mm eine Mersenne Primzahl ist dann ist n eine vollkommene Zahl. Ein paar Beispiele.
m = 2
n = 21 M2 = 2 * 3 = 6 = 1 + 2 + 3
m = 3
n = 22 M3 = 4 * 7 = 28 = 1 + 2 + 4 + 7 + 14
m = 5
n = 24 M5 = 16 * 31 = 496 = 1 + 2 + 4 + 8 + 16 + 31 + 62 + 124 + 248
m = 7
n = 26 M7 = 64 * 127 = 8128 = 1 + 2 + 4 + 8 + 16 + 32 + 64 + 127 + 254 + 508 + 1016 + 2032 + 4064
m = 13
n = 212 M13 = 4096 * 8191 = 33550336
m = 17
n = 216 M17 = 65536 * 131071 = 8589869056
m = 19
n = 218 M19 = 262144 * 524287 = 137438691328
m = 31
n = 230 M31 = 1073741824 * 2147483647 = 2305843008139952128
m = 61
n = 260 M61 = 1152921504606846976 * 2305843009213693951 = 2658455991569831744654692615953842176
Die perfekten Zahlen enden immer auf 6 oder 8 (bzw. 28).
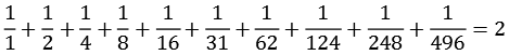
Die Summe der Kehrwerte aller Teiler der vollkommenen Zahlen ergibt immer 2, ein paar Beispiele
| n | |
| 6 |
![]() |
| 28 |
![]() |
| 496 |
![]() |
| 8128 |
![]() |
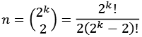
Jede gerade vollkommene Zahl n lässt sich darstellen als Summe der ersten natürlichen Zahlen.
![]()

mit
![]()

| m | |
| 3 |
![]() |
| 78 |
![]() |
| 31 |
![]() |
| 127 |
![]() |
Mit Ausnahme von 6 lässt sich jede gerade vollkommene Zahl n aus der Summe der Kuben der ersten ungeraden natürlichen Zahlen darstellen.
28 = 13 + 33 = 1 + 27
496 = 13 + 33 + 53 + 73 = 1 + 27 + 125 + 343
8128 = 13 + 33 + 53 + 73 + 93 + 113 + 133 + 153 = 1 + 27 + 125 + 343 + 729 + 1331 + 2197 + 3375
Jede gerade vollkommene Zahl lässt sich mit einer geeigneten natürlichen Zahl k darstellen.
![]()

k = 2
n = 6
k = 3
n = 28
k = 5
n = 496
k = 7
n = 8128
Auch die Darstellung im Dualsystem ist interessant. Eine gerade vollkommene Zahl erscheint im Dualsystem als charakteristische Folge von Einsen und Nullen , und zwar aus a+1 Einsen und a Nullen.
![]()

a = 1
n = 6 = 110
a = 2
n = 28 = 11100
a = 4
n = 496 = 111110000
a = 6
n = 8128 = 1111111000000
a = 12
n = 33550336 = 1111111111111000000000000
a = 16
n = 8589869056 = 111111111111111110000000000000000
a = 18
n = 137438691328 = 1111111111111111111000000000000000000
a = 30
n = 2305843008139952128 = 1111111111111111111111111111111000000000000000000000000000000
a = 60
n = 2658455991569831744654692615953842176 = 1111111111111111111111111111111111111111111111111111111111111000000000000000000000000000000000000000000000000000000000000
Befreundete Zahlen
Zwei verschiedene natürliche Zahlen, von denen wechselseitig jeweils eine Zahl gleich der Summe der echten Teiler der anderen Zahl ist, werden befreundete Zahlen genannt. Ein paar Beispiele:
220 : 1 + 2 + 4 + 5 + 10 + 11 + 20 + 22 + 44 + 55 + 110 = 284
284 : 1 + 2 + 4 + 71 + 142 = 220
1184 : 1+2+4+8+16+32+37+74+148+296+592 = 1210
1210 : 1+2+5+10+11+22+55+110+121+242+605 = 1184
2620 : 1+2+4+5+10+20+131+262+524+655+1310 = 2924
2924 : 1+2+4+17+34+43+68+86+172+731+1462 = 2620
5020 : 1+2+4+5+10+20+251+502+1004+1255+2510 = 5564
5564 : 1+2+4+13+26+52+107+214+428+1391+2782 = 5020
6232 : 1+2+4+8+19+38+41+76+82+152+164+328+779+1558+3116 = 6368
6368 : 1+2+4+8+16+32+199+398+796+1592+3184 = 6232
10744 : 1+2+4+8+17+34+68+79+136+158+316+632+1343+2686+5372 = 10856
10856 : 1+2+4+8+23+46+59+92+118+184+236+472+1357+2714+5428 = 10744
12285 : 1+3+5+7+9+13+15+21+27+35+39+45+63+65+91+105+117+135+189+195+273+315+351+455+585+819+945+1365+1755+2457+4095 = 14595
14595 : 1+3+5+7+15+21+35+105+139+417+695+973+2085+2919+4865 = 12285
17296 : 1+2+4+8+16+23+46+47+92+94+184+188+368+376+752+1081+2162+4324+8648 = 18416
18416 : 1+2+4+8+16+1151+2302+4604+9208 = 17296
9363584 : 1+2+4+8+16+32+64+128+191+382+383+764+766+1528+1532+3056+3064+6112+6128+12224+12256+24448+24512+49024+73153+146306+292612+585224+1170448+2340896+4681792 = 9437056
9437056 : 1+2+4+8+16+32+64+128+73727+147454+294908+589816+1179632+2359264+4718528 = 9363584
Satz von Thabit Ibn Qurra
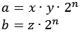
Für eine natürliche Zahl n sei
![]()

Wenn x, y und z ungerade Primzahlen (blau) sind, dann sind die beiden Zahlen
![]()

befreundet.
| n | x | y | z | a | b |
| 1 | 5 | 2 | 17 | 20 | 34 |
| 2 | 11 | 5 | 71 | 220 | 284 |
| 3 | 23 | 11 | 287 | 2024 | 2296 |
| 4 | 47 | 23 | 1151 | 17296 | 18416 |
| 5 | 95 | 47 | 4607 | 142880 | 147424 |
| 6 | 191 | 95 | 18431 | 1161280 | 1179584 |
| 7 | 383 | 191 | 73727 | 9363584 | 9437056 |
| 8 | 767 | 383 | 294911 | 75202816 | 75497216 |
| 9 | 1535 | 767 | 1179647 | 602800640 | 603979264 |
| 10 | 3071 | 1535 | 4718591 | 4827120640 | 4831837184 |
Narzisstische Zahlen
Diese n-stelligen Zahlen entsprechen der Summe der n-ten Potenz ihrer Ziffern. 153 ist kleinste Zahl dieser Gruppe, die bisher größte entdeckte narzisstische Zahl lautet 115132219018763992565095597973971522401, die 39 Stellen hat, d.h. die Summe jeder einzelnen Ziffer in die 39. Potenz erhoben ergibt die Zahl selbst.
153 = 13 + 53 + 33 = 1 + 125 + 27
370 = 33 + 73 + 03 = 27 + 343 + 0
371 = 33 + 73 + 13 = 27 + 343 + 1
407 = 43 + 03 + 73 = 64 + 0 + 343
1634 = 14 + 64 + 34 + 44 = 1 + 1296 + 81 + 256
8208 = 84 + 24 + 04 + 84 = 4096 + 16 + 0 + 4096
9474 = 94 + 44 + 74 + 44 = 6561 + 256 + 2401 + 256
54748 = 55 + 45 + 75 + 45 + 85 = 3125 + 1024 + 16807 + 1024 + 32768
92727 = 95 + 25 + 75 + 25 + 75 = 59049 + 32 + 16807 + 32 + 16807
93084 = 95 + 35 + 05 + 85 + 45 = 59049 + 243 + 0 + 32768 + 1024
548834 = 56 + 46 + 86 + 86 + 36 + 46 = 15625 + 4096 + 262144 + 262144 + 729 + 4096
Insgesamt sind 88 narzisstische Zahlen bekannt. Endet eine narzisstische Zahl n auf Null, dann ist auch die folgende Zahl
(n + 1) eine narzisstische Zahl, da 0n = 0 und 1n = 1.
Zum Beispiel
0, 1
370, 371
24678050, 24678051
32164049650, 32164049651
4338281769391370, 4338281769391371
3706907995955475988644380, 3706907995955475988644381
19008174136254279995012734740, 19008174136254279995012734741
186709961001538790100634132976990, 186709961001538790100634132976991
115132219018763992565095597973971522400, 115132219018763992565095597973971522401
Alle 88 narzisstischen Zahlen.
| n | |
| 1 | 0 1 2 3 4 5 6 7 8 9 |
| 3 | 153 370 371 407 |
| 4 | 1634 8208 9474 |
| 5 | 54748 92727 93084 |
| 6 | 548834 |
| 7 | 1741725 4210818 9800817 9926315 |
| 8 | 24678050 24678051 88593477 |
| 9 | 146511208 472335975 534494836 912985153 |
| 10 | 4679307774 |
| 11 | 32164049650 32164049651 40028394225 42678290603 44708635679 49388550606 82693916578 94204591914 |
| 14 | 28116440335967 |
| 16 | 4338281769391370 4338281769391371 |
| 17 | 21897142587612075 35641594208964132 35875699062250035 |
| 19 | 1517841543307505039 3289582984443187032 4498128791164624869 4929273885928088826 |
| 20 | 63105425988599693916 |
| 21 | 128468643043731391252 449177399146038697307 |
| 23 | 21887696841122916288858 27879694893054074471405 27907865009977052567814 28361281321319229463398 35452590104031691935943 |
| 24 | 174088005938065293023722 188451485447897896036875 239313664430041569350093 |
| 25 | 1550475334214501539088894 1553242162893771850669378 3706907995955475988644380 3706907995955475988644381 4422095118095899619457938 |
| 27 | 121204998563613372405438066 121270696006801314328439376 128851796696487777842012787 174650464499531377631639254 177265453171792792366489765 |
| 29 | 14607640612971980372614873089 19008174136254279995012734740 19008174136254279995012734741 23866716435523975980390369295 |
| 31 | 1145037275765491025924292050346 1927890457142960697580636236639 2309092682616190307509695338915 |
| 32 | 17333509997782249308725103962772 |
| 33 | 186709961001538790100634132976990 186709961001538790100634132976991 |
| 34 | 1122763285329372541592822900204593 |
| 35 | 12639369517103790328947807201478392 12679937780272278566303885594196922 |
| 37 | 1219167219625434121569735803609966019 |
| 38 | 12815792078366059955099770545296129367 |
| 39 | 115132219018763992565095597973971522400 115132219018763992565095597973971522401 |
Narzisstische Zahlen mit steigender Potenz
Narzisstische Zahlen mit steigender Potenz sind Zahlen, deren Summe ihrer Ziffern, potenziert mit deren Stelle in der Zahl,
die Zahl selbst ergibt. Also zum Beispiel eine Zahl abc = a1 + b2 + c3.
Ein paar Beispiele:
89 = 81 + 92 = 8 + 81
135 = 11 + 32 + 53 = 1 + 9 + 125
175 = 11 + 72 + 53 = 1 + 49 + 125
518 = 51 + 12 + 83 = 5 + 1 + 512
598 = 51 + 92 + 83 = 5 + 81 + 512
1306 = 11 + 32 + 03 + 64 = 1 + 9 + 0 + 1296
1676 = 11 + 62 + 73 + 64 = 1 + 36 + 343 + 1296
2427 = 21 + 42 + 23 + 74 = 2 + 16 + 8 + 2401
2646798 = 21 + 62 + 43 + 64 + 75 + 96 + 87 = 2 + 36 + 64 + 1296 + 16807 + 531441 + 2097152
12157692622039623539 = 11 + 22 + 13 + 54 + 75 + 66 + 97 + 28 + 69 + 210 + 211 + 012 + 313 + 914 + 615 + 216 + 317 + 518 + 319 + 920 =
| [zurück] | [Inhaltsverzeichnis] | [vor] |